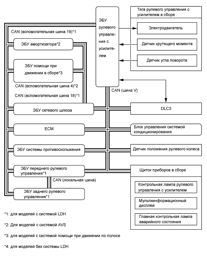
СИСТЕМА РУЛЕВОГО УПРАВЛЕНИЯ С УСИЛИТЕЛЕМ СХЕМА СИСТЕМЫ

A01FC16E02