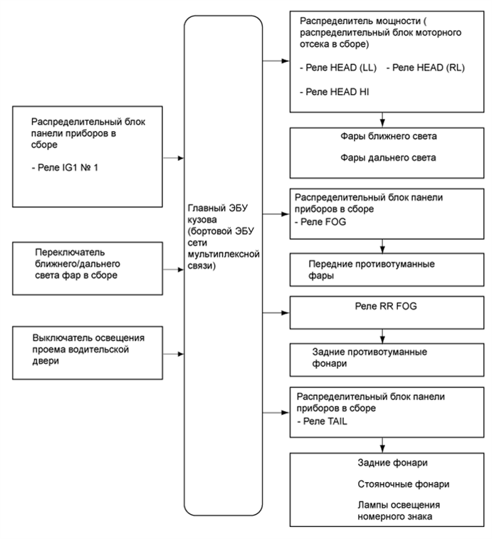
СИСТЕМА ОСВЕЩЕНИЯ СХЕМА СИСТЕМЫ


  1. СИСТЕМА АВТОМАТИЧЕСКОГО УПРАВЛЕНИЯ ОСВЕЩЕНИЕМ

    A01NKV1E03
  2. СИСТЕМА АВТОМАТИЧЕСКОГО ВЫКЛЮЧЕНИЯ ОСВЕЩЕНИЯ

    A01NL9ZE02
  3. СИСТЕМА ПОДФАРНИКОВ, ВКЛЮЧАЕМЫХ ПРИ ДВИЖЕНИИ В СВЕТЛОЕ ВРЕМЯ СУТОК

    A01NIWSE02
    Таблица обмена данными
    Передатчик Приемник Линия Данные
    ЭБУ распределения питания Главный ЭБУ кузова (бортовой ЭБУ сети мультиплексной связи) CAN Сигнал состояния готовности (READY)
  4. СИСТЕМА ГАЗОРАЗРЯДНЫХ ФАР

    A01NMYTE06
  5. СИСТЕМА СВЕТОДИОДНЫХ ФАР

    A01NIJZE01
    Таблица обмена данными
    Передатчик Приемник Линия Данные
    Главный ЭБУ кузова (бортовой ЭБУ сети мультиплексной связи) Щиток приборов в сборе CAN Сигнал состояния системы освещения
    Главный ЭБУ кузова (бортовой ЭБУ сети мультиплексной связи) Щиток приборов в сборе CAN Контрольная лампа предупреждения
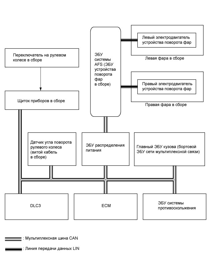
  6. АВТОМАТИЧЕСКАЯ СИСТЕМА УПРАВЛЕНИЯ УРОВНЕМ ФАР

    A01NIHQE04
    Таблица обмена данными
    Передатчик Приемник Линия Данные
    ЭБУ распределения питания ЭБУ системы AFS (ЭБУ устройства поворота фар в сборе) CAN Сигнал состояния готовности (READY)
    Главный ЭБУ кузова (бортовой ЭБУ сети мультиплексной связи) ЭБУ системы AFS (ЭБУ устройства поворота фар в сборе) CAN Сигнал состояния системы освещения
    Запрос DRL
    Запрос включения фар дальнего света
    Запрос включения фар ближнего света
    ЭБУ системы AFS (ЭБУ устройства поворота фар в сборе) Главный ЭБУ кузова (бортовой ЭБУ сети мультиплексной связи) CAN Признак AFS / управления уровнем
    ЭБУ системы AFS (ЭБУ устройства поворота фар в сборе) Щиток приборов в сборе CAN Сигнал запроса включения индикатора AFS OFF
    Предупреждение системы управления уровнем фар (для моделей без AFS)
    ЭБУ системы противоскольжения ЭБУ системы AFS (ЭБУ устройства поворота фар в сборе) CAN Признак ошибки датчика частоты вращения правого переднего колеса
    Частота вращения правого переднего колеса
    Признак ошибки датчика частоты вращения левого переднего колеса
    Частота вращения левого переднего колеса
  7. СИСТЕМА AFS (СИСТЕМА АДАПТИВНОГО ПЕРЕДНЕГО ОСВЕЩЕНИЯ)

    A01NJ8QE01
    Таблица обмена данными
    Передатчик Приемник Линия Данные
    ЭБУ распределения питания ЭБУ системы AFS (ЭБУ устройства поворота фар в сборе) CAN Сигнал состояния готовности (READY)
    Сигнал положения P рычага переключения передач
    Сигнал положения R рычага переключения передач
    Сигнал положения N рычага переключения передач
    Сигнал положения D рычага переключения передач
    Сигнал положения В рычага переключения передач
    Главный ЭБУ кузова (бортовой ЭБУ сети мультиплексной связи) ЭБУ системы AFS (ЭБУ устройства поворота фар в сборе) CAN Сигнал состояния системы освещения
    Запрос DRL
    Запрос включения фар дальнего света
    Запрос включения фар ближнего света
    ЭБУ системы противоскольжения ЭБУ системы AFS (ЭБУ устройства поворота фар в сборе) CAN Признак ошибки датчика частоты вращения правого переднего колеса
    Частота вращения правого переднего колеса
    Признак ошибки датчика частоты вращения левого переднего колеса
    Частота вращения левого переднего колеса
    ЭБУ системы AFS (ЭБУ устройства поворота фар в сборе) Щиток приборов в сборе CAN Сигнал запроса включения индикатора AFS OFF
    ЭБУ системы AFS (ЭБУ устройства поворота фар в сборе) Главный ЭБУ кузова (бортовой ЭБУ сети мультиплексной связи) CAN Признак AFS / управления уровнем
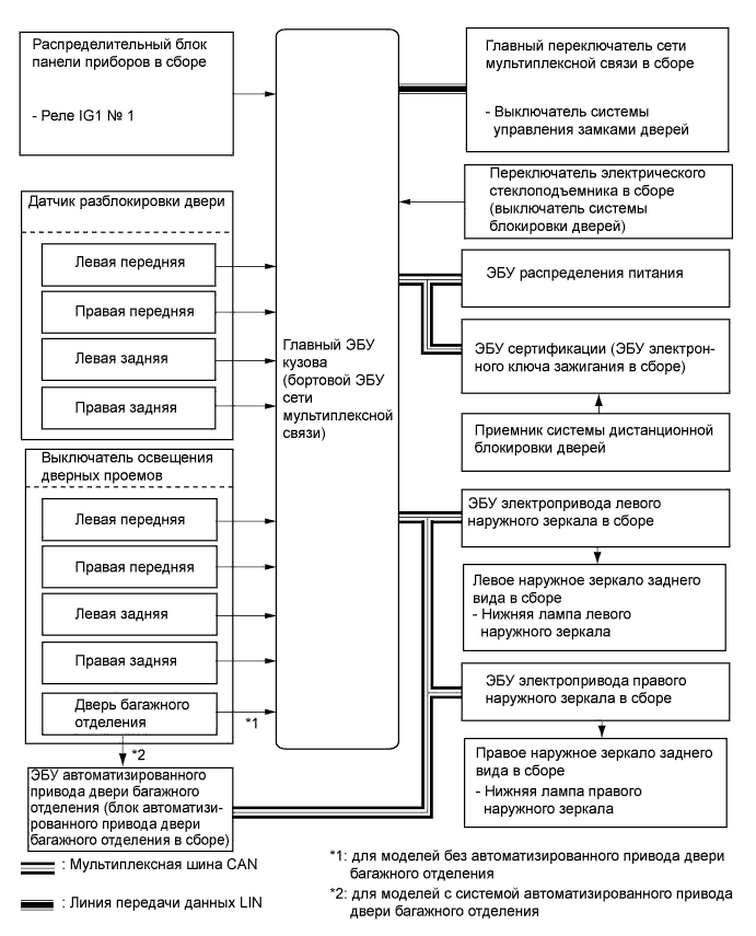
  8. СИСТЕМА НИЖНИХ ЛАМП НАРУЖНЫХ ЗЕРКАЛ

    A01NJGME02
    Таблица обмена данными
    Передатчик Приемник Линия Данные
    ЭБУ сертификации (ЭБУ электронного ключа зажигания в сборе) Главный ЭБУ кузова (бортовой ЭБУ сети мультиплексной связи) CAN Сигнал дистанционной блокировки дверей
    ЭБУ автоматизированного привода двери багажного отделения (блок автоматизированного привода двери багажного отделения в сборе) Главный ЭБУ кузова (бортовой ЭБУ сети мультиплексной связи) CAN Сигнал освещения проема багажной двери
    ЭБУ распределения питания Главный ЭБУ кузова (бортовой ЭБУ сети мультиплексной связи) CAN Сигнал положения P рычага переключения передач
    Главный ЭБУ кузова (бортовой ЭБУ сети мультиплексной связи) ЭБУ электропривода левого наружного зеркала в сборе CAN Команда включения нижней лампы левого наружного зеркала
    Главный ЭБУ кузова (бортовой ЭБУ сети мультиплексной связи) ЭБУ электропривода правого наружного зеркала в сборе CAN Команда включения нижней лампы правого наружного зеркала