СИСТЕМА G-BOOK (для моделей без приемопередатчика системы обработки и передачи информации) РЕГИСТРАЦИЯ


  1. КОНТРАКТНЫЕ УСТАНОВКИ АВТОМОБИЛЯ

    Tech Tips

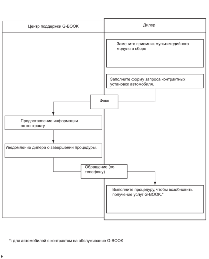
    В случае замены приемника мультимедийного модуля в сборе на автомобилях, которые не имеют контракта на обслуживание G-BOOK, выполните контрактные установки автомобиля.

    A01FVG7E03

    1. Обратитесь в центр G-BOOK.


      1. Сообщите в центр G-BOOK о том, что будут выполняться контрактные установки автомобиля.

        Tech Tips

        После обращения в центр G-BOOK из него по факсу придет форма запроса контрактных установок автомобиля.

    2. Перед заменой проверьте идентификационный код (когда может быть начата диагностика).

      Tech Tips

      В случае замены приемника мультимедийного модуля в сборе проверьте идентификационный код G-BOOK.


      1. Войдите в режим диагностики (см. стр. Click here).

      2. A01FR1O

        На экране "Service Menu" (меню обслуживания) выберите "Service Information" (информация об обслуживании).

      3. A01FVBB

        На экране "Service Information" (информация об обслуживании) выберите "G-BOOK Info for Contract" (информация о контрактных установках G-BOOK).

      4. A01FPYG

        Проверьте идентификационный код G-BOOK.

    3. Замените приемник мультимедийного модуля в сборе.


      1. Замените приемник мультимедийного модуля в сборе у дилера.

    4. Проверьте идентификационный код после замены.

      Tech Tips

      В случае замены приемника мультимедийного модуля в сборе проверьте идентификационный код G-BOOK.


      1. Войдите в режим диагностики (см. стр. Click here).

      2. A01FR1O

        На экране "Service Menu" (меню обслуживания) выберите "Service Information" (информация об обслуживании).

      3. A01FVBB

        На экране "Service Information" (информация об обслуживании) выберите "G-BOOK Info for Contract" (информация о контрактных установках G-BOOK).

      4. A01FPYG

        Проверьте идентификационный код G-BOOK.

    5. Заполните форму запроса контрактных установок автомобиля.

      A01FVA2E01

      1. После заполнения формы запроса контрактных установок автомобиля отправьте ее в центр G-BOOK.

        Параметр / Устройство Информация, которая должна быть введена. Примечание
        *1 Введите наименование дилера заявителя. Информация о заявителе
        *2 Введите фамилию заявителя. Информация о заявителе
        *3 Введите номер факса дилера. Информация о дилере
        *4 Введите номер телефона дилера. Информация о дилере
        *5 Введите идентификационный номер транспортного средства. Информация об автомобиле
        *6
        • Введите идентификационный код G-BOOK старого блока.

        • Выровняйте номер по левому краю.

        • Если приемник мультимедийного модуля в сборе не заменяется, этот параметр вводить не требуется.

        Используется в качестве информации о запросе на изменение от дилера
        *7 - -
        *8
        • Введите идентификационный код G-BOOK нового блока, установленного на автомобиле.

        • Выровняйте номер по левому краю.

        • Если приемник мультимедийного модуля в сборе не заменяется, этот параметр вводить не требуется.

        Используется в качестве информации о запросе на изменение от дилера
        *9 - -
        *10 - -
        *11 Введите пробег по одометру на момент замены приемника мультимедийного модуля в сборе. Используется в качестве информации о запросе на изменение от дилера
        *12 Введите дату регистрации пробега. Используется в качестве информации о запросе на изменение от дилера
    6. Выполните процедуру, чтобы возобновить получение услуг G-BOOK.

      Tech Tips

      Рисунки приведены лишь в качестве примеров и могут отличаться от фактических экранов.


      1. A01FUPQ

        Выполните операции, показанные на рисунке, и выберите G-BOOK.com.

      2. Убедитесь, что отображается G-BOOK.com.

      3. Когда появится экран указаний, выполните процедуру возобновления получения услуг G-BOOK в соответствии с инструкциями на экране.