СИСТЕМА НАВИГАЦИИ СХЕМА СИСТЕМЫ


  1. ШИНА ПЕРЕДАЧИ ДАННЫХ СЕТИ MOST

    A01FRDAE01
  2. ШИНА ПЕРЕДАЧИ ДАННЫХ AVC-LAN

    A01FTOXE01
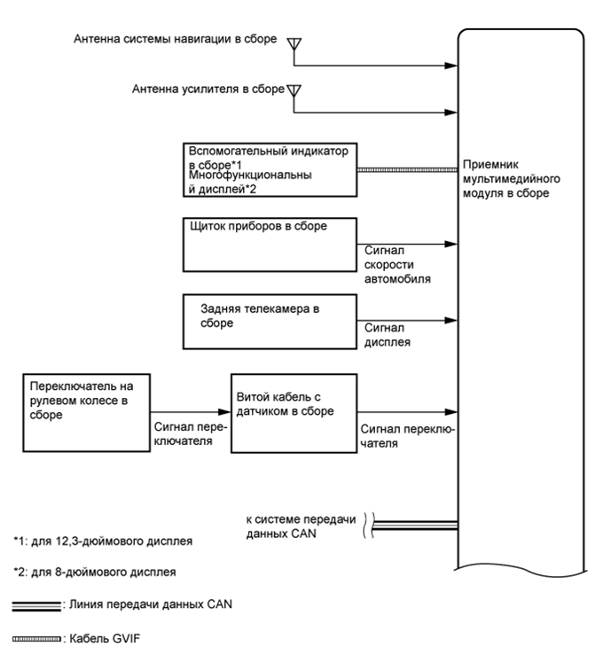
  3. ЛИНИЯ ПЕРЕДАЧИ ДАННЫХ ЛОКАЛЬНОЙ ШИНЫ

    A01FPYPE01
  4. ПРОЧИЕ СИСТЕМЫ

    A01FTSEE02
    A01FRRJE01