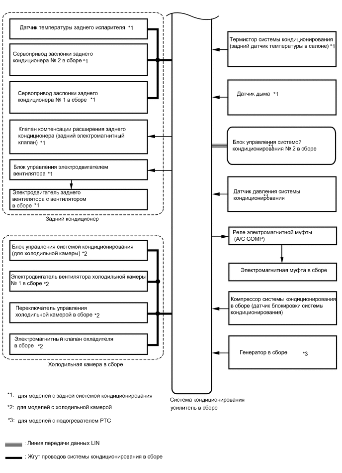
Table 1. Таблица обмена данными Передатчик Приемник Сигнал Линия передачи данных Блок управления системой кондиционирования в сборе ECM Сигнал запроса системы кондиционирования на повышение холостых оборотов двигателя CAN Сигнал запроса отопителя на повышение частоты вращения коленчатого вала двигателя на холостом ходу Сигнал температуры окружающего воздуха Сигнал запроса управления для подогревателя PTC*3 Главный ЭБУ кузова Блок управления системой кондиционирования в сборе Сигнал запроса главного ЭБУ кузова Щиток приборов в сборе Блок управления системой кондиционирования в сборе Сигнал скорости автомобиля ECM Блок управления системой кондиционирования в сборе Сигнал температуры охлаждающей жидкости Данные частоты вращения коленчатого двигателя Сигнал данных о типе двигателя Дисплей модуля системы навигации и индикации*1 Блок управления системой кондиционирования в сборе Сигнал работы переключателя AUTO Сигнал работы выключателя OFF Сигнал переключателя A/C Сигнал выключателя переднего оттаивателя Сигнал выключателя обогревателя заднего стекла Сигнал переключателя режима Сигнал переключателя REC/FRS Сигнал выключателя REAR Сигнал датчика заданной температуры Сигнал работы переключателя вентилятора (повышение, понижение) Сигнал выключателя режима фильтрации пыльцы Панель управления системы кондиционирования в сборе*2 Блок управления системой кондиционирования в сборе Сигнал работы переключателя AUTO LIN Сигнал работы выключателя OFF Сигнал переключателя A/C Сигнал выключателя переднего оттаивателя Сигнал выключателя обогревателя заднего стекла Сигнал переключателя режима Сигнал переключателя REC/FRS Сигнал выключателя REAR Сигнал датчика заданной температуры Сигнал работы переключателя вентилятора (повышение, понижение) Сигнал выключателя режима фильтрации пыльцы Панель управления системы кондиционирования № 2 в сборе Блок управления системой кондиционирования в сборе Сигнал работы переключателя AUTO Сигнал работы выключателя OFF Сигнал переключателя режима Сигнал работы переключателя вентилятора (повышение, понижение) Сигнал датчика заданной температуры
-
*1: для моделей с системой навигации
-
*2: для моделей без системы навигации
-
*3: Для моделей с подогревателем PTC