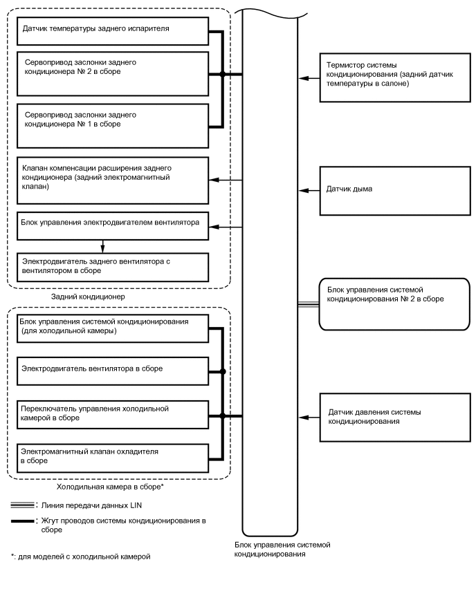
Информация добавлена 08-08-2017
| Передатчик | Приемник | Сигнал | Линия передачи данных |
|---|---|---|---|
| Блок управления системой кондиционирования в сборе | ECM | Сигнал запроса системы кондиционирования на повышение холостых оборотов двигателя | CAN |
| Сигнал запроса отопителя на повышение частоты вращения коленчатого вала двигателя на холостом ходу | |||
| Сигнал температуры окружающего воздуха | |||
| Главный ЭБУ кузова | Блок управления системой кондиционирования в сборе | Сигнал запроса главного ЭБУ кузова | |
| Щиток приборов в сборе | Блок управления системой кондиционирования в сборе | Сигнал скорости автомобиля | |
| ECM | Блок управления системой кондиционирования в сборе | Сигнал температуры охлаждающей жидкости | |
| Данные частоты вращения коленчатого двигателя | |||
| Сигнал данных о типе двигателя | |||
| Дисплей модуля системы навигации и индикации*1 | Блок управления системой кондиционирования в сборе | Сигнал работы переключателя AUTO | |
| Сигнал работы выключателя OFF | |||
| Сигнал переключателя A/C | |||
| Сигнал выключателя переднего оттаивателя | |||
| Сигнал выключателя обогревателя заднего стекла | |||
| Сигнал переключателя режима | |||
| Сигнал переключателя REC/FRS | |||
| Сигнал выключателя REAR | |||
| Сигнал датчика заданной температуры | |||
| Сигнал работы переключателя вентилятора (повышение, понижение) | |||
| Сигнал выключателя режима фильтрации пыльцы | |||
| Панель управления системы кондиционирования в сборе*2 | Блок управления системой кондиционирования в сборе | Сигнал работы переключателя AUTO | LIN |
| Сигнал работы выключателя OFF | |||
| Сигнал переключателя A/C | |||
| Сигнал выключателя переднего оттаивателя | |||
| Сигнал выключателя обогревателя заднего стекла | |||
| Сигнал переключателя режима | |||
| Сигнал переключателя REC/FRS | |||
| Сигнал выключателя REAR | |||
| Сигнал датчика заданной температуры | |||
| Сигнал работы переключателя вентилятора (повышение, понижение) | |||
| Сигнал выключателя режима фильтрации пыльцы | |||
| Панель управления системы кондиционирования № 2 в сборе | Блок управления системой кондиционирования в сборе | Сигнал работы переключателя AUTO | |
| Сигнал работы выключателя OFF | |||
| Сигнал переключателя режима | |||
| Сигнал работы переключателя вентилятора (повышение, понижение) | |||
| Сигнал датчика заданной температуры |
*1: для моделей с системой навигации
*2: для моделей без системы навигации