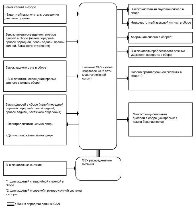
ПРОТИВОУГОННАЯ СИСТЕМА СХЕМА СИСТЕМЫ

A01A791E01