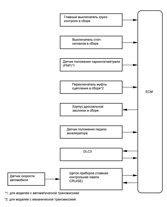
СИСТЕМА КРУИЗ-КОНТРОЛЯ СХЕМА СИСТЕМЫ

A01J3YFE02