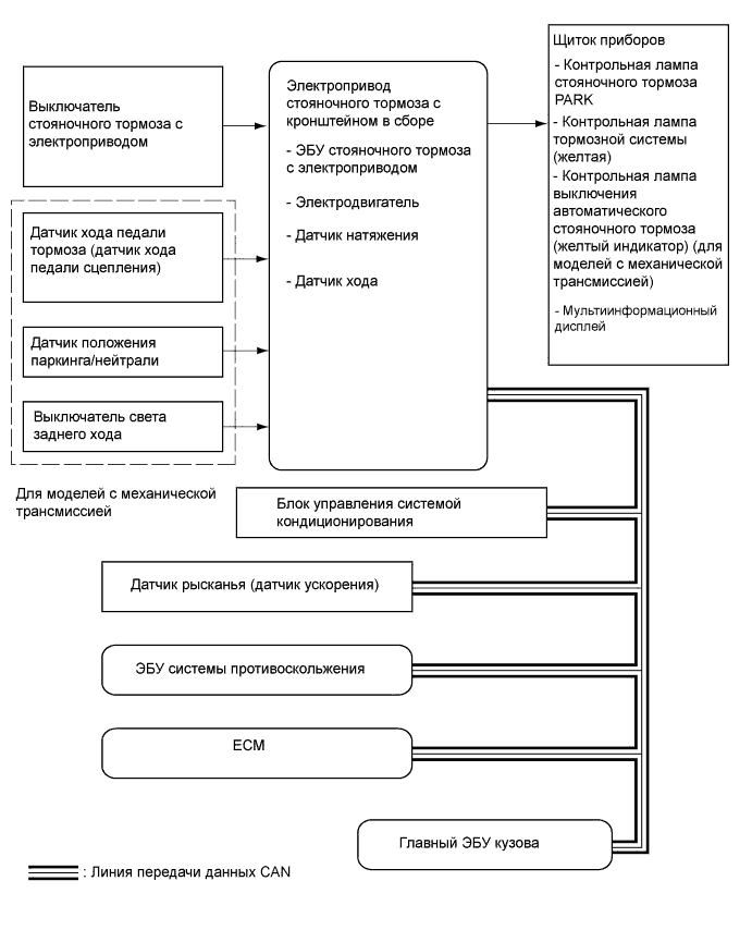
СИСТЕМА СТОЯНОЧНОГО ТОРМОЗА С ЭЛЕКТРОПРИВОДОМ СХЕМА СИСТЕМЫ

A00OL9IE03
Таблица обмена данными
Передающий ЭБУ (передатчик) Принимающий ЭБУ Сигналы Метод передачи данных
ECM ЭБУ стояночного тормоза с электроприводом
  • Сигнал частоты вращения коленчатого вала двигателя

  • Сигнал крутящего момента двигателя

  • Сигнал угла поворота педали акселератора

  • Сигнал технических характеристик двигателя и трансмиссии

  • Сигнал данных о типе двигателя

  • Сигнал данных о температуре охлаждающей жидкости двигателя

  • Сигнал неисправности в системе управления двигателем

  • Сигнал состояния контакта TC

  • Сигнал стартера

Система передачи данных CAN
Датчик рысканья ЭБУ стояночного тормоза с электроприводом Сигнал ускорения Система передачи данных CAN
ЭБУ системы противоскольжения ЭБУ стояночного тормоза с электроприводом
  • Сигнал выключателя стоп-сигналов

  • Сигнал частоты вращения колес автомобиля

  • Сигнал состояния установки датчика рысканья

  • Сигнал состояния контакта TS

Система передачи данных CAN
ЭБУ стояночного тормоза с электроприводом ЭБУ системы противоскольжения Сигнал данных о состоянии стояночного тормоза Система передачи данных CAN
ЭБУ стояночного тормоза с электроприводом ECM Сигнал хода педали сцепления (для моделей с механической трансмиссией) Система передачи данных CAN
Главный ЭБУ кузова ЭБУ стояночного тормоза с электроприводом Сигнал данных о положении рулевого колеса Система передачи данных CAN
Блок управления системой кондиционирования ЭБУ стояночного тормоза с электроприводом
  • Сигнал запроса для электромагнитной муфты

  • Сигнал запроса системы кондиционирования на повышение частоты вращения коленчатого вала на холостом ходу

  • Сигнал запроса отопителя на повышение частоты вращения коленчатого вала двигателя на холостом ходу

  • Сигнал запроса управления для подогревателя PTC

Система передачи данных CAN