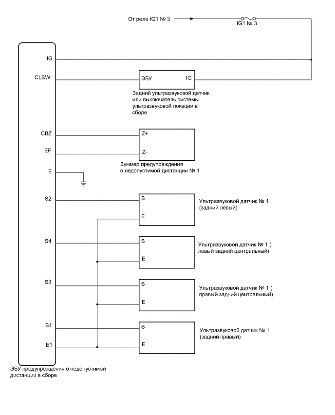
СЕНСОРНАЯ СИСТЕМА ПОМОЩИ ПРИ ПАРКОВКЕ TOYOTA (с 4 датчиками) СХЕМА СИСТЕМЫ

A0028T6E02
A002C5XE15
Таблица обмена данными
Передатчик Приемник Сигнал Линия

Главный ЭБУ кузова

(бортовой ЭБУ сети мультиплексной связи)

ЭБУ предупреждения о недопустимой дистанции в сборе Сигнал данных о рынке сбыта Линия передачи данных CAN
ECM ЭБУ предупреждения о недопустимой дистанции в сборе Сигнал положения рычага переключения передач Линия передачи данных CAN
Щиток приборов в сборе ЭБУ предупреждения о недопустимой дистанции в сборе Сигнал скорости автомобиля Линия передачи данных CAN
ЭБУ предупреждения о недопустимой дистанции в сборе Щиток приборов в сборе
  • Информационный сигнал ультразвукового локатора

  • Сигнал запроса включения индикатора системы ультразвуковой локации

Линия передачи данных CAN
ЭБУ предупреждения о недопустимой дистанции в сборе

Радиоприемник с дисплеем в сборе*1

Приемник системы навигации в сборе*2

Информационный сигнал ультразвукового локатора Линия передачи данных CAN