КРАТКОЕ ОПИСАНИЕ ЩИТКА ПРИБОРОВ
кроме моделей с комплектацией F SPORT
| *a | Пример индикации | *b | Тахометр |
| *c | Спидометр | *d | Указатель температуры охлаждающей жидкости двигателя |
| *e | Указатель уровня топлива | *f | Мультиинформационный дисплей |
| *g | Зона отображения A1 | *h | Зона отображения A2 |
| *i | Зона отображения A3 | - | - |
для моделей с комплектацией F SPORT
| *A | Подвижный ободок щитка приборов не приведен в действие | *B | Приведен в действие подвижный ободок щитка приборов |
| *a | Пример индикации | *b | Зона отображения B1 |
| *c | Зона отображения B2 | *d | Зона отображения B3 |
| *e | Зона отображения B4 | *f | Зона отображения B5 |
| *g | Зона отображения B6 | *h | Зона отображения B7 |
| *i | Зона отображения B8 | *j | Зона отображения B9 |
| *k | Зона отображения B10 | *l | Зона отображения B11 |
| *m | Зона отображения B12 | *n | Зона отображения B13 |
| *o | Зона отображения B14 | *p | Зона отображения B15 |
| *q | Зона отображения B16 | *r | Зона отображения B17 |
| *s | Зона отображения B18 | - | - |
ВХОДНЫЕ И ВЫХОДНЫЕ СИГНАЛЫ ЩИТКА ПРИБОРОВ
Контрольно-измерительный прибор
| Параметр / Устройство | Условие | Вход/выход | Линия передачи данных | Сигнал | Устройство | Зона отображения |
|---|---|---|---|---|---|---|
| Спидометр |
|
Вход | CAN | Сигнал скорости автомобиля (SP1) | Блок управления рабочими цилиндрами тормозов в сборе (ЭБУ системы противоскольжения) | B3 |
| - | Шина прямой связи | Входной импульсный сигнал скорости автомобиля | ||||
| Выход | CAN | Сигнал скорости автомобиля (от щитка приборов для других устройств) | Соответствующие ЭБУ | |||
| Сигнал допустимого отклонения скорости A | ||||||
| Сигнал допустимого отклонения скорости B | ||||||
| Шина прямой связи | Выходной импульсный сигнал скорости автомобиля | Соответствующие ЭБУ | ||||
| Тахометр |
|
Вход | CAN | Сигнал данных частоты вращения коленчатого вала двигателя | ECM | B7 |
| Указатель уровня топлива |
|
Вход | CAN | Сигнал расхода топлива | ECM | B10, B14 |
| Сигнал данных частоты вращения коленчатого вала двигателя | ||||||
| Сигнал стартера*3 | ||||||
| Сигнал положения P рычага переключения передач | ||||||
| Сигнал положения R рычага переключения передач | ||||||
| Сигнал положения N рычага переключения передач | ||||||
| Сигнал положения D рычага переключения передач | ||||||
| Сигнал индикатора MODE | ||||||
| Сигнал пуска двигателя вручную | ЭБУ запуска и останова двигателя*4 | |||||
| Сигнал скорости автомобиля (SP1) | Блок управления рабочими цилиндрами тормозов в сборе (ЭБУ системы противоскольжения) | |||||
| Шина прямой связи | Сигнал уровня топлива |
|
||||
| Выход | CAN | Сигнал состояния указателя уровня топлива в баке | Соответствующие ЭБУ | |||
| Сигнал инициализации указателя уровня топлива | ||||||
| Сигнал данных непосредственного впрыска топлива | ||||||
| Сигнал инициализации показания топлива | ||||||
| Сигнал среднего расхода топлива | ||||||
| Сигнал шкалы расхода топлива | ||||||
| Указатель температуры охлаждающей жидкости |
|
Вход | CAN | Сигнал температуры охлаждающей жидкости | ECM | B9, B16 |
*1: кроме моделей с комплектацией F SPORT
*2: для моделей с комплектацией F SPORT
*3: для моделей без системы запуска и останова
*4: для моделей с системой запуска и останова
Контрольная лампа или индикатор
| Параметр / Устройство | Условие | Вход/выход | Линия передачи данных | Сигнал | Устройство |
|---|---|---|---|---|---|
| Главная контрольная лампа аварийного состояния | Загорается/мигает | Вход | CAN/линия прямой связи | Все сигналы предупреждения | Соответствующие ЭБУ |
| Контрольная лампа предупреждения о незакрытой двери | Загорается | Вход | CAN | Сигнал выключателя освещения дверного проема со стороны водителя | Главный ЭБУ кузова (бортовой ЭБУ сети мультиплексной связи) |
| Сигнал выключателя освещения проема двери переднего пассажира | |||||
| Сигнал выключателя освещения проема правой задней двери | |||||
| Сигнал выключателя освещения проема левой задней двери | |||||
| Сигнал выключателя освещения проема двери багажного отделения | |||||
| Контрольная лампа BRAKE | Загорается | Вход | CAN | Сигнал признака управления контрольной лампы состояния тормозной системы | Блок управления рабочими цилиндрами тормозов в сборе (ЭБУ системы противоскольжения) |
| Сигнал выключателя стояночного тормоза | Главный ЭБУ кузова (бортовой ЭБУ сети мультиплексной связи) | ||||
| Сигнал отрицательного давления усилителя тормозной системы | ЭБУ запуска и останова двигателя*13 | ||||
| Сигнал ошибки датчика отрицательного давления усилителя тормозной системы | |||||
| Шина прямой связи | Сигнал датчика уровня тормозной жидкости | Бачок главного цилиндра тормозной системы в сборе (датчик уровня тормозной жидкости) | |||
| Датчик разрежения | Датчик разрежения в сборе*14 | ||||
| Контрольная лампа предупреждения о непристегнутом ремне безопасности водителя или переднего пассажира | Загорается/мигает | Вход | CAN | Сигнал выключателя пряжки ремня безопасности сиденья водителя | Главный ЭБУ кузова (бортовой ЭБУ сети мультиплексной связи) |
| Сигнал выключателя стояночного тормоза | |||||
| Сигнал положения P рычага переключения передач | ECM | ||||
| Сигнал скорости автомобиля (SP1) | Блок управления рабочими цилиндрами тормозов в сборе (ЭБУ системы противоскольжения) | ||||
| Шина прямой связи | Сигнал состояния выключателя пряжки ремня безопасности переднего пассажира | Замок ремня безопасности правого переднего сиденья*11 | |||
| Замок ремня безопасности левого переднего сиденья*12 | |||||
| Сигнал наличия пассажира на сиденье переднего пассажира | Подушка раздельного переднего сиденья (датчик присутствия пассажира) | ||||
| Контрольная лампа SRS | Загорается | Вход | CAN | Сигнал запроса управления контрольной лампой аварийного состояния SRS | Блок управления системы SRS |
| Сигнал режима активной диагностики | ECM | ||||
| Контрольная лампа заряда | Загорается | Вход | CAN | Сигнал контрольной лампы Charge | ECM |
| Сигнал режима ECO | ЭБУ запуска и останова двигателя*13 | ||||
| Шина прямой связи | Сигнал контакта заряда L | Генератор в сборе | |||
| Контрольная лампа EPS | Загорается/мигает | Вход | CAN | Сигнал запроса включения контрольной лампы EPS | ЭБУ рулевого управления с усилителем |
| MIL (Контрольная лампа Check engine) | Загорается/мигает | Вход | CAN | Сигнал запроса включения MIL | ECM |
| Контрольная лампа PCS*5 | Загорается/мигает | Вход | CAN | Сигнал включения контрольной лампы PCS | ЭБУ помощи при движении в сборе |
| Контрольная лампа SLIP | Загорается/мигает | Вход | CAN | Сигнал контрольной лампы SLIP | Блок управления рабочими цилиндрами тормозов в сборе (ЭБУ системы противоскольжения) |
| Контрольная лампа VSC OFF | Загорается | Вход | CAN | Сигнал контрольной лампы VSC OFF | Блок управления рабочими цилиндрами тормозов в сборе (ЭБУ системы противоскольжения) |
| Контрольная лампа ABS | Загорается/мигает | Вход | CAN | Сигнал признака управления контрольной лампы ABS | Блок управления рабочими цилиндрами тормозов в сборе (ЭБУ системы противоскольжения) |
| Контрольная лампа давления в шинах*1 | Загорается | Вход | CAN | Сигнал состояния 1 контрольной лампы TPMS | Главный ЭБУ кузова (бортовой ЭБУ сети мультиплексной связи) |
| Контрольная лампа низкого уровня топлива | Загорается | Вход | Шина прямой связи | Сигнал уровня топлива | Датчик уровня топлива в сборе |
| Датчик уровня топлива № 2 в сборе | |||||
| Контрольная лампа задних противотуманных фонарей*15 | Загорается | Вход | CAN | Сигнал запроса включения задних противотуманных фонарей | Главный ЭБУ кузова (бортовой ЭБУ сети мультиплексной связи) |
| Сигнал контрольной лампы системы управления уровнем фар | Загорается | Вход | CAN | Сигнал контрольной лампы системы управления уровнем фар | ЭБУ системы управления уровнем фар |
| Контрольная лампа автоматического включения дальнего света*7 | Загорается | Вход | CAN | Сигнал индикатора интеллектуальной системы переключения света фар | Главный ЭБУ кузова (бортовой ЭБУ сети мультиплексной связи) |
| Контрольная лампа выключения системы запуска и останова*2, *13 | Загорается/мигает | Вход | CAN | Сигнал запроса включения контрольной лампы отмены режима Eco | ЭБУ запуска и останова двигателя |
| Контрольная лампа системы предупреждения об уходе с полосы*2, *6 | Загорается | Вход | CAN | Сигнал отображения индикатора | Камера системы предупреждения об уходе с полосы |
| Главная контрольная лампа круиз-контроля*2, *3 | Загорается | Вход | CAN | Сигнал главной контрольной лампы круиз-контроля | ECM |
| Аварийный сигнал круиз-контроля | |||||
| Главная контрольная лампа круиз-контроля*2, *4 | Загорается | Вход | CAN | Сигнал временных настроек режима контроля дистанции | ЭБУ помощи при движении в сборе |
| Аварийный сигнал круиз-контроля | |||||
| Сигнал контрольной лампы работы круиз-контроля | |||||
| Главная контрольная лампа радарной системы круиз-контроля*2, *4 | Загорается | Вход | CAN | Сигнал временных настроек режима контроля дистанции | ЭБУ помощи при движении в сборе |
| Аварийный сигнал круиз-контроля | |||||
| Сигнал контрольной лампы работы круиз-контроля | |||||
| Контрольная лампа включения дальнего света | Загорается | Вход | CAN | Сигнал запроса включения фар дальнего света | Главный ЭБУ кузова (бортовой ЭБУ сети мультиплексной связи) |
| Контрольная лампа TAIL | Загорается | Вход | CAN | Сигнал запроса включения задних фонарей | Главный ЭБУ кузова (бортовой ЭБУ сети мультиплексной связи) |
| Контрольная лампа включения передних противотуманных фар*9 | Загорается | Вход | CAN | Сигнал запроса включения передних противотуманных фар | Главный ЭБУ кузова (бортовой ЭБУ сети мультиплексной связи) |
| Контрольная лампа указателя поворота | Мигает | Вход | Шина прямой связи | Сигнал переключателя левого указателя поворота | Переключатель стеклоочистителя ветрового стекла в сборе |
| Сигнал переключателя правого указателя поворота | |||||
| Сигнал выключателя аварийной сигнализации | Панель управления системой кондиционирования в сборе | ||||
| CAN | Сигнал запроса включения аварийной сигнализации | DCM (приемопередатчик системы обработки и передачи информации)*10 | |||
| - | Выход | CAN | Сигнал состояния указателя поворота | Соответствующие ЭБУ | |
| Сигнал состояния выключателя аварийной сигнализации | |||||
| Шина прямой связи | Сигнал переключателя левого указателя поворота | Все указатели поворота | |||
| Сигнал переключателя правого указателя поворота | |||||
| Сигнал выключателя аварийной сигнализации | |||||
| Индикатор режима ECO | Загорается | Вход | CAN | Сигнал индикатора экологичного режима | ECM |
| Контрольная лампа круиз-контроля SET*2, *3 | Загорается | Вход | CAN | Сигнал контрольной лампы круиз-контроля SET | ECM |
| Контрольная лампа круиз-контроля SET*2, *4 | Загорается | Вход | CAN | Сигнал контрольной лампы круиз-контроля SET | ЭБУ помощи при движении в сборе |
| Контрольная лампа системы запуска и останова*2, *13 | Загорается/мигает | Вход | CAN | Сигнал запроса включения контрольной лампы режима ECO | ЭБУ запуска и останова двигателя |
| Контрольная лампа системы ультразвуковой локации*8 | Загорается | Вход | CAN | Сигнал включения индикатора главного выключателя CLSO | ЭБУ предупреждения о недопустимой дистанции |
| Контрольная лампа ремней безопасности задних сидений*18 | - | Вход | CAN | Сигнал состояния парковки | Главный ЭБУ кузова (бортовой ЭБУ сети мультиплексной связи) |
| Сигнал выключателя освещения проема правой задней двери | |||||
| Сигнал выключателя освещения проема левой задней двери | |||||
| Сигнал скорости автомобиля (SP1) | Блок управления рабочими цилиндрами тормозов в сборе (ЭБУ системы противоскольжения) | ||||
| Шина прямой связи | Сигнал выключателя пряжки ремня безопасности левого заднего сиденья |
|
|||
| Сигнал выключателя пряжки центрального ремня безопасности заднего сиденья | |||||
| Сигнал выключателя пряжки правого ремня безопасности заднего сиденья | Замок ремня безопасности правого заднего сиденья № 1 в сборе | ||||
| Загорается | Выход | Шина прямой связи | Сигнал вывода предупреждения о непристегнутом ремне безопасности левого заднего сиденья | Панель управления системой кондиционирования в сборе | |
| Сигнал вывода предупреждения о непристегнутом ремне безопасности центрального заднего сиденья | |||||
| Сигнал вывода предупреждения о непристегнутом ремне безопасности правого заднего сиденья |
*1: для моделей с системой предупреждения о ненадлежащем давлении в шинах
*2: для моделей с комплектацией F SPORT
*3: Для моделей без динамической радарной системы круиз-контроля
*4: Для моделей с динамической радарной системой круиз-контроля
*5: для моделей с предаварийной системой безопасности
*6: для моделей с системой предупреждения об уходе с полосы
*7: для моделей с системой автоматического включения дальнего света
*8: для моделей с сенсорной системой помощи при парковке LEXUS
*9: для моделей с передними противотуманными фарами
*10: Для моделей с приемопередатчиком системы обработки и передачи информации
*11: Для моделей с левосторонним рулевым управлением
*12: Для моделей с правосторонним рулевым управлением
*13: для моделей с системой запуска и останова
*14: для моделей с 8AR-FTS без системы запуска и останова
*15: для моделей с задними противотуманными фонарями
*16: Для нерегулируемых сидений
*17: Для моделей со складывающимися сиденьями
*18: для моделей с функцией предупреждения о непристегнутых ремнях безопасности задних сидений
Мультиинформационный дисплей
| Параметр / Устройство | Условие | Вход/выход | Линия передачи данных | Сигнал | Устройство | Зона отображения |
|---|---|---|---|---|---|---|
| Открывание | - | - | - | - | - | A1, A2, A3, B7 |
| Окончание | - | - | - | - | - | B7 |
| Одометр | Отображается | Вход | CAN | Сигнал интегрированного значения импульсного сигнала скорости автомобиля | Блок управления рабочими цилиндрами тормозов в сборе (ЭБУ системы противоскольжения) | A1, B11, B18 |
| Сигнал скорости автомобиля (SP1) | ||||||
| Шина прямой связи | Сигнал переключения ODO/TRIP | Переключатель TRIP | ||||
| - | Выход | CAN | Сигнал единиц измерения одометра | Соответствующие ЭБУ | ||
| Сигнал одометра | ||||||
| Счетчик пути | Отображается | Вход | CAN | Сигнал интегрированного значения импульсного сигнала скорости автомобиля | Блок управления рабочими цилиндрами тормозов в сборе (ЭБУ системы противоскольжения) | A1, B11, B18 |
| Сигнал скорости автомобиля (SP1) | ||||||
| Шина прямой связи | Сигнал переключения ODO/TRIP | Переключатель TRIP | ||||
| - | Выход | CAN | Сигнал поездки A | DCM (приемопередатчик системы обработки и передачи информации) | ||
| Сигнал поездки B | ||||||
| Пробег до замены моторного масла*19 | Отображается | Вход | CAN | Сигнал пробега до замены моторного масла | ECM | A1, B11, B18 |
| Сигнал единиц измерения пробега до замены моторного масла | ||||||
| Сигнал запроса инверсии экрана замены моторного масла | ||||||
| Текущий расход топлива (столбиковый индикатор) | Отображается | Вход | CAN | Сигнал скорости автомобиля (SP1) | Блок управления рабочими цилиндрами тормозов в сборе (ЭБУ системы противоскольжения) | A2, B1, B13 |
| Сигнал расхода топлива | ECM | |||||
| Сигнал данных частоты вращения коленчатого вала двигателя | ||||||
| - | Выход | CAN | Сигнал 0 контрольной информации о поездке | Радиоприемник | ||
| Сигнал отображения контрольной информации о поездке (текущий расход топлива) | ||||||
| Средний расход топлива (после дозаправки) | Отображается | Вход | CAN | Сигнал данных частоты вращения коленчатого вала двигателя | ECM | A2, B1, B13 |
| Сигнал расхода топлива | ||||||
| Сигнал скорости автомобиля (SP1) | Блок управления рабочими цилиндрами тормозов в сборе (ЭБУ системы противоскольжения) | |||||
| Сигнал интегрированного значения импульсного сигнала скорости автомобиля | ||||||
| Шина прямой связи | Сигнал сброса | Переключатель на рулевом колесе | ||||
| - | Выход | CAN | Сигнал 6 контрольной информации о поездке | Радиоприемник | ||
| Сигнал отображения контрольной информации о поездке (общий средний расход топлива) | ||||||
| Средний расход топлива (после запуска) | Отображается | Вход | CAN | Сигнал данных частоты вращения коленчатого вала двигателя | ECM | A2, B1, B13 |
| Сигнал расхода топлива | ||||||
| Сигнал скорости автомобиля (SP1) | Блок управления рабочими цилиндрами тормозов в сборе (ЭБУ системы противоскольжения) | |||||
| Сигнал интегрированного значения импульсного сигнала скорости автомобиля | ||||||
| Средний расход топлива (после дозаправки) | Отображается | Вход | CAN | Сигнал данных частоты вращения коленчатого вала двигателя | ECM | A2, B1, B13 |
| Сигнал расхода топлива | ||||||
| Сигнал скорости автомобиля (SP1) | Блок управления рабочими цилиндрами тормозов в сборе (ЭБУ системы противоскольжения) | |||||
| Сигнал интегрированного значения импульсного сигнала скорости автомобиля | ||||||
| - | Выход | CAN | Сигнал отображения контрольной информации о поездке (средний расход топлива после дозаправки) | Радиоприемник | ||
| Средняя скорость (после сброса) | Отображается | Вход | CAN | Сигнал данных частоты вращения коленчатого вала двигателя | ECM | A2, B1, B13 |
| Сигнал скорости автомобиля (SP1) | Блок управления рабочими цилиндрами тормозов в сборе (ЭБУ системы противоскольжения) | |||||
| Сигнал интегрированного значения импульсного сигнала скорости автомобиля | ||||||
| Шина прямой связи | Сигнал сброса | Переключатель на рулевом колесе | ||||
| Средняя скорость (после запуска) | Отображается | Вход | CAN | Сигнал данных частоты вращения коленчатого вала двигателя | ECM | A2, B1, B13 |
| Сигнал скорости автомобиля (SP1) | Блок управления рабочими цилиндрами тормозов в сборе (ЭБУ системы противоскольжения) | |||||
| Сигнал интегрированного значения импульсного сигнала скорости автомобиля | ||||||
| - | Выход | CAN | Сигнал 1 контрольной информации о поездке | Радиоприемник | ||
| Сигнал индикации контрольной информации о поездке (средней скорости после запуска) | ||||||
| Прошедшее время (после сброса) | Отображается | Вход | CAN | Сигнал данных частоты вращения коленчатого вала двигателя | ECM | A2, B1, B13 |
| Шина прямой связи | Сигнал сброса | Переключатель на рулевом колесе | ||||
| Прошедшее время (после запуска) | Отображается | Вход | CAN | Сигнал данных частоты вращения коленчатого вала двигателя | ECM | A2, B1, B13 |
| - | Выход | CAN | Сигнал отображения контрольной информации о поездке (время движения после запуска) | Радиоприемник | ||
| Дистанция (диапазон) | Отображается | Вход | CAN | Сигнал данных о типе двигателя 1 | ECM | A2, B1, B13 |
| Сигнал данных о типе двигателя 2 | ||||||
| Сигнал данных о типе двигателя 3 | ||||||
| Сигнал данных о типе двигателя 4 | ||||||
| Сигнал данных частоты вращения коленчатого вала двигателя | ||||||
| Сигнал данных ходовой части | ||||||
| Сигнал расхода топлива | ||||||
| Сигнал интегрированного значения импульсного сигнала скорости автомобиля | Блок управления рабочими цилиндрами тормозов в сборе (ЭБУ системы противоскольжения) | |||||
| Шина прямой связи | Сигнал уровня топлива | Датчик уровня топлива в сборе | ||||
| Датчик уровня топлива № 2 в сборе | ||||||
| - | Выход | CAN | Сигнал 4 контрольной информации о поездке | Радиоприемник | ||
| Сигнал индикации контрольной информации о поездке (расстояния, которое может проехать автомобиль) | ||||||
| Дистанция (после запуска) | Отображается | Вход | CAN | Сигнал данных частоты вращения коленчатого вала двигателя | ECM | A2, B1, B13 |
| Сигнал скорости автомобиля (SP1) | Блок управления рабочими цилиндрами тормозов в сборе (ЭБУ системы противоскольжения) | |||||
| Сигнал интегрированного значения импульсного сигнала скорости автомобиля | ||||||
| Idle stop time (After reset) (время останова на холостом ходу (после сброса))*16 | Отображается | Вход | CAN | Сигнал данных частоты вращения коленчатого вала двигателя | ECM | A2, B13 |
| Сигнал признака режима Eco-run | ||||||
| Сигнал режима ECO | ЭБУ запуска и останова двигателя | |||||
| Сигнал режима системы кондиционирования при запуске в ЭБУ запуска и останова | ||||||
| Idle stop time (After start) (время останова на холостом ходу (после запуска))*16 | Отображается | Вход | CAN | Сигнал данных частоты вращения коленчатого вала двигателя | ECM | A2, B13 |
| Сигнал признака режима Eco-run | ||||||
| Сигнал режима ECO | ЭБУ запуска и останова двигателя | |||||
| Сигнал режима системы кондиционирования при запуске в ЭБУ запуска и останова | ||||||
| Idle stop time (Current vehicle stop) (время останова на холостом ходу (текущая остановка автомобиля))*16 | Отображается | Вход | CAN | Сигнал данных частоты вращения коленчатого вала двигателя | ECM | A2, B13 |
| Сигнал признака режима Eco-run | ||||||
| Сигнал режима ECO | ЭБУ запуска и останова двигателя | |||||
| Сигнал режима системы кондиционирования при запуске в ЭБУ запуска и останова | ||||||
| Amount of fuel saved (After reset) (количество сэкономленного топлива (после сброса))*16 | Отображается | Вход | CAN | Сигнал данных частоты вращения коленчатого вала двигателя | ECM | A2, B13 |
| Сигнал признака режима Eco-run | ||||||
| Сигнал режима ECO | ЭБУ запуска и останова двигателя | |||||
| Сигнал режима системы кондиционирования при запуске в ЭБУ запуска и останова | ||||||
| Amount of fuel saved (After start) (количество сэкономленного топлива (после запуска))*16 | Отображается | Вход | CAN | Сигнал данных частоты вращения коленчатого вала двигателя | ECM | A2, B13 |
| Сигнал признака режима Eco-run | ||||||
| Сигнал режима ECO | ЭБУ запуска и останова двигателя | |||||
| Сигнал режима системы кондиционирования при запуске в ЭБУ запуска и останова | ||||||
| Зона индикатора режима ECO | Отображается | Вход | CAN | Сигнал уровня зоны индикации Eco | ECM | A2, B1, B13 |
| Прочее (пусто) | - | - | - | - | - | A2, B1, B13 |
| Указатель давления наддува*2, *25 | Отображается | Вход | CAN | Сигнал датчика давления в уравнительном бачке | ECM | B13 |
| Сигнал информации 0 блока TPMS | Главный ЭБУ кузова (бортовой ЭБУ сети мультиплексной связи) | |||||
| Указатель температуры моторного масла*2, *25 | Отображается | Вход | CAN | Сигнал температуры моторного масла | ECM | B13 |
| Указатель давления моторного масла*2, *25 | Отображается | Вход | CAN | Сигнал давления моторного масла | ECM | B13 |
| Сигнал информации 0 блока TPMS | Главный ЭБУ кузова (бортовой ЭБУ сети мультиплексной связи) | |||||
| Давление в шинах*11 | Отображается | Вход | CAN | Сигнал давления в шинах TPMS FL (ID1) | Главный ЭБУ кузова (бортовой ЭБУ сети мультиплексной связи) | A2, B1, B13 |
| Сигнал давления в шинах TPMS FR (ID2) | ||||||
| Сигнал давления в шинах TPMS RL (ID3) | ||||||
| Сигнал давления в шинах TPMS RR (ID4) | ||||||
| Сигнал давления в шинах TPMS SP (ID5) | ||||||
| Сигнал 0 давления в шинах TPMS FL (ID1) | ||||||
| Сигнал 0 давления в шинах TPMS FR (ID2) | ||||||
| Сигнал 0 давления в шинах TPMS RL (ID3) | ||||||
| Сигнал 0 давления в шинах TPMS RR (ID4) | ||||||
| Сигнал 0 давления в шинах TPMS SP (ID5) | ||||||
| Сигнал 0 давления в шинах TPMS | ||||||
| Сигнал информации 0 блока TPMS | ||||||
| Сигнал бита 0 запроса отображения TPMS | ||||||
| Сигнал разброса данных TPMS | ||||||
| Закладка информации о движении | Отображается | - | - | - | - | A2, B13 |
| Закладка системы навигации*9 | Отображается | Вход | CAN / локальная шина / GVIF*9 | Сигнал навигации | Радиоприемник | A2, B13 |
| Закладка аудиосистемы | Отображается | Вход | CAN / локальная шина / GVIF*9 | Аудиосигнал | Радиоприемник | A2, B13 |
| Закладка указаний по работе с круиз-контролем*4 | Отображается | Вход | CAN | - | ЭБУ помощи при движении в сборе | A2, B13 |
| Закладка системы предупреждения об уходе с полосы*3, *6 | Отображается | Вход | CAN | - | Камера системы предупреждения об уходе с полосы | A2, B13 |
| Закладка системы запуска и останова*16 | Отображается | Вход | CAN | Сигнал признака режима Eco-run | ECM | A2, B13 |
| Закладка сообщений | Отображается | - | - | - | - | A2, B13 |
| Закладка настроек | Отображается | - | - | - | - | A2, B13 |
| Положение рычага переключения передач | Отображается | Вход | CAN | Сигнал положения P рычага переключения передач | ECM | A3, B5 |
| Сигнал положения R рычага переключения передач | ||||||
| Сигнал положения N рычага переключения передач | ||||||
| Сигнал положения D рычага переключения передач | ||||||
| Сигнал переключения передачи | ||||||
| Сигнал индикатора MODE | ||||||
| Сигнал включения спортивного режима | ||||||
| Сигнал диапазона температур трансмиссионной жидкости | ||||||
| Индикатор переключения передач | Отображается | Вход | CAN | Сигнал повышения передачи | ECM | A3, B5 |
| Сигнал понижения передачи | ||||||
| Индикатор SPORT*15 | Отображается | Вход | CAN | Встроенный индикатор режима SPORT | ECM | A3, B6 |
| Индикатор SPORT S*10 | Отображается | Вход | CAN | Сигнал интегрированного спортивного режима | ECM | A3, B6 |
| Индикатор SPORT S+*10 | Отображается | Вход | CAN | Сигнал контрольной лампы AVS (TEMS) | ЭБУ амортизатора | A3, B6 |
| Сигнал интегрированного спортивного режима | ECM | |||||
| Индикатор ECO/ECO MODE | Отображается | Вход | CAN | Сигнал индикатора режима ECO | ECM | A3, B6 |
| Контрольная лампа SNOW | Отображается | Вход | CAN | Сигнал индикатора ECT SNOW | ECM | A3, B2 |
| Контрольная лампа круиз-контроля SET*1, *3 | Отображается | Вход | CAN | Сигнал контрольной лампы круиз-контроля SET | ECM | A3 |
| Контрольная лампа круиз-контроля SET*1, *4 | Отображается | Вход | CAN | Сигнал контрольной лампы круиз-контроля SET | ЭБУ помощи при движении в сборе | A3 |
| Главная контрольная лампа круиз-контроля*1, *3 | Отображается | Вход | CAN | Сигнал главной контрольной лампы круиз-контроля | ECM | A3 |
| Аварийный сигнал круиз-контроля | ||||||
| Главная контрольная лампа круиз-контроля*1, *4 | Отображается | Вход | CAN | Сигнал временных настроек режима контроля дистанции | ЭБУ помощи при движении в сборе | A3 |
| Аварийный сигнал круиз-контроля | ||||||
| Сигнал контрольной лампы работы круиз-контроля | ||||||
| Главная контрольная лампа радарной системы круиз-контроля*1, *4 | Отображается | Вход | CAN | Сигнал временных настроек режима контроля дистанции | ЭБУ помощи при движении в сборе | A3 |
| Аварийный сигнал круиз-контроля | ||||||
| Сигнал контрольной лампы работы круиз-контроля | ||||||
| Контрольная лампа системы предупреждения об уходе с полосы*1, *6 | Отображается | Вход | CAN | Сигнал отображения индикатора | Камера системы предупреждения об уходе с полосы | A3 |
| Контрольная лампа системы запуска и останова*1, *16 | Отображается | Вход | CAN | Сигнал запроса включения контрольной лампы режима ECO | ЭБУ запуска и останова двигателя | A3 |
| Контрольная лампа выключения системы запуска и останова*1, *16 | Отображается | Вход | CAN | Сигнал запроса включения контрольной лампы отмены режима Eco | ЭБУ запуска и останова двигателя | A3 |
| Температура наружного воздуха | Отображается | Вход | CAN | Сигнал индикации температуры окружающего воздуха | Блок управления системой кондиционирования в сборе | A3, B8, B17 |
| Сигнал выбора одного из двух вариантов: сигнал датчика соответствует отображаемой температуре окружающего воздуха или на 0,5°C ниже | ||||||
| Предупреждение об обледенении дороги | Отображается | Вход | CAN | Сигнал индикации температуры окружающего воздуха | Блок управления системой кондиционирования в сборе | A3, B8, B17 |
| Сигнал выбора одного из двух вариантов: сигнал датчика соответствует отображаемой температуре окружающего воздуха или на 0,5°C ниже | ||||||
| Телефон (принятый вызов) | Отображается | Вход | CAN / локальная шина / GVIF*9 | Сигнал телефона (принятый вызов) | Радиоприемник | A2, B1, B13 |
| Данные навигации по направлению*9 | Отображается | Вход | CAN / локальная шина / GVIF*9 | Сигнал навигации по направлению | Радиоприемник | A2, B1, B13 |
| Индикатор предупреждения о скорости автомобиля*2 | Отображается | Вход | CAN | Сигнал скорости автомобиля (SP1) | Блок управления рабочими цилиндрами тормозов в сборе (ЭБУ системы противоскольжения) | B5 |
| Индикатор частоты вращения*2 | Отображается | Вход | CAN | Сигнал данных частоты вращения коленчатого вала двигателя | ECM | B7 |
| Максимальная частота вращения*2 | Отображается | Вход | CAN | Сигнал данных частоты вращения коленчатого вала двигателя | ECM | B7 |
| Указание по управлению подвижным ободком щитка приборов*2 | Отображается | - | - | - | - | B11 |
| Указание для главного выключателя круиз-контроля*4 | Отображается | Вход | CAN | Сигнал временных настроек режима контроля дистанции | ЭБУ помощи при движении в сборе | A2, B8, B13 |
| Сигнал контроля скорости автомобиля | ||||||
| Сигнал контрольной лампы круиз-контроля SET | ||||||
| Аварийный сигнал круиз-контроля | ||||||
| Сигнал контрольной лампы работы круиз-контроля | ||||||
| Сигнал предупреждения радарной системы круиз-контроля | ||||||
| Сигнал переключателя SET/COAST системы круиз-контроля | ||||||
| Сигнал переключателя возобновления/ускорения системы круиз-контроля | ||||||
| Сигнал выключателя CANCEL круиз-контроля | ||||||
| Сигнал контрольной лампы круиз-контроля SET | ECM | |||||
| Аварийный сигнал круиз-контроля | ||||||
| Сигнал главной контрольной лампы круиз-контроля | ||||||
| Рекомендация системы запуска и останова*16 | Отображается | Вход | CAN | Сигнал признака режима Eco-run | ECM | A1, A2, B11, B13, B18 |
| Сигнал режима ECO | ЭБУ запуска и останова двигателя | |||||
| Сигнал запроса включения контрольной лампы отмены режима Eco | ||||||
| Сигнал режима системы кондиционирования при запуске в ЭБУ запуска и останова | ||||||
| Информационный сигнал (причина запрета) системы запуска и останова | ||||||
| Информационный сигнал (рекомендация) системы запуска и останова | ||||||
| ACCESSORY (вспомогательное оборудование) | Отображается | Вход | CAN | Сигнал запроса индикации режима автомобиля | ЭБУ сертификации (ЭБУ электронного ключа питания в сборе) | A1, B12, B15 |
| IGNITION ON (питание включено) | Отображается | Вход | CAN | Сигнал запроса индикации режима автомобиля | ЭБУ сертификации (ЭБУ электронного ключа питания в сборе) | A1, B12, B15 |
| CDY-2 | Отображается | Вход | CAN | Сигнал режима CDY | ECM | A2, B1, B13 |
| CDY-4 | Отображается | Вход | CAN | Сигнал режима CDY | ECM | A2, B1, B13 |
| Режим активной диагностики системы VGRS*12 | Отображается | Вход | CAN | Сигнал запроса для щитка приборов | ЭБУ переднего рулевого управления | A2, B1, B13 |
| Adjusting LDA Camera (настройка камеры LDA)*6 | Отображается | Вход | CAN | Сигнал отображения текста в режиме регулировки камеры | Камера системы предупреждения об уходе с полосы | A2, B1, B13 |
| Adjusting Front Radar Beam (регулировка диаграммы направленности переднего радара)*4 | Отображается | Вход | CAN | Сигнал режима проверки для ACC | ЭБУ помощи при движении в сборе | A2, B1, B13 |
| BRAKE! (торможение!)*5 | Отображается | Вход | CAN | Сигнал предупреждающего сообщения PCS | ЭБУ помощи при движении в сборе | A2, B1, B13 |
| Holding in Engine Switch Will Cause an Emergency Engine Stop. (Удерживание выключателя зажигания вызовет аварийный останов двигателя.) | Отображается | Вход | CAN | Сигнал предупреждения интеллектуальной системы 2 | ЭБУ сертификации (ЭБУ электронного ключа питания в сборе) | A2, B1, B13 |
| To Restart Car, Shift Lever to "N" and Press Engine Switch. (Для перезапуска автомобиля установите рычаг в положение "N" и нажмите выключатель зажигания.) | Отображается | Вход | CAN | Сигнал предупреждения интеллектуальной системы 2 | ЭБУ сертификации (ЭБУ электронного ключа питания в сборе) | A2, B1, B13 |
| The Engine Has Stopped. (двигатель остановлен.) Please Put Shift Lever into "P". (установите рычаг переключения передач в положение "P".) | Отображается | Вход | CAN | Сигнал данных частоты вращения коленчатого вала двигателя | ECM | A2, B1, B13 |
| Сигнал положения P рычага переключения передач | ||||||
| Сигнал положения N рычага переключения передач | ||||||
| Сигнал скорости автомобиля (SP1) | Блок управления рабочими цилиндрами тормозов в сборе (ЭБУ системы противоскольжения) | |||||
| Сигнал режима ECO | ЭБУ запуска и останова двигателя*16 | |||||
| The Engine Has Stopped. (двигатель остановлен.) Please Stop Your Car in a Safe Place. (остановите автомобиль в безопасном месте.) | Отображается | Вход | CAN | Сигнал данных частоты вращения коленчатого вала двигателя | ECM | A2, B1, B13 |
| Сигнал положения P рычага переключения передач | ||||||
| Сигнал положения N рычага переключения передач | ||||||
| Сигнал скорости автомобиля (SP1) | Блок управления рабочими цилиндрами тормозов в сборе (ЭБУ системы противоскольжения) | |||||
| Сигнал режима ECO | ЭБУ запуска и останова двигателя*16 | |||||
| Dynamic radar cruise control*4 или Lane departure alert*6 warning reminder indicator | Отображается | Вход | CAN | Сигнал идентификатора 1 отображения ACC | ЭБУ помощи при движении в сборе | A2, B1, B13 |
| Сигнал идентификатора 2 отображения ACC | ||||||
| Brake Malfunction (Неисправность тормозов) | Отображается | Вход | CAN | Сигнал признака управления контрольной лампы состояния тормозной системы | Блок управления рабочими цилиндрами тормозов в сборе (ЭБУ системы противоскольжения) | A2, B1, B13 |
| The Accelerator is Stuck. Please Depress Brake Pedal to Stop Car. (педаль акселератора заклинило. Нажмите педаль тормоза, чтобы остановить автомобиль.) | Отображается | Вход | CAN | Сигнал запроса мультиинформационного дисплея BOS | ECM | A2, B1, B13 |
| Each door ajar (все двери неплотно закрыты) (во время движения автомобиля) | Отображается | Вход | CAN | Сигнал выключателя освещения дверного проема со стороны водителя | Главный ЭБУ кузова (бортовой ЭБУ сети мультиплексной связи) | A2, B1, B13 |
| Сигнал выключателя освещения проема двери переднего пассажира | ||||||
| Сигнал выключателя освещения проема правой задней двери | ||||||
| Сигнал выключателя освещения проема левой задней двери | ||||||
| Сигнал выключателя освещения проема двери багажного отделения | ||||||
| Сигнал выключателя освещения проема капота | ||||||
| Сигнал рулевого колеса | ||||||
| Сигнал скорости автомобиля (SP1) | Блок управления рабочими цилиндрами тормозов в сборе (ЭБУ системы противоскольжения) | |||||
| Each door ajar (все двери неплотно закрыты) (когда автомобиль остановлен) | Отображается | Вход | CAN | Сигнал выключателя освещения дверного проема со стороны водителя | Главный ЭБУ кузова (бортовой ЭБУ сети мультиплексной связи) | A2, B1, B13 |
| Сигнал выключателя освещения проема двери переднего пассажира | ||||||
| Сигнал выключателя освещения проема правой задней двери | ||||||
| Сигнал выключателя освещения проема левой задней двери | ||||||
| Сигнал выключателя освещения проема двери багажного отделения | ||||||
| Сигнал выключателя освещения проема капота | ||||||
| Сигнал рулевого колеса | ||||||
| Обнаружение объектов системой ультразвуковой локации (отображение изображения)*8 | Отображается | Вход | CAN | Сигнал включения индикатора главного выключателя системы ультразвуковой локации | ЭБУ предупреждения о недопустимой дистанции | A2, B1, B13 |
| Сигнал запроса включения индикации на консоли | ||||||
| Сигнал данных для центральной передней зоны | ||||||
| Сигнал данных для левой передней зоны | ||||||
| Сигнал данных для правой передней зоны | ||||||
| Сигнал данных для центральной задней зоны | ||||||
| Сигнал данных для левой задней зоны | ||||||
| Сигнал данных для правой задней зоны | ||||||
| Сигнал запроса диагностики датчика | ||||||
| Check Park Sonar System (проверьте ультразвуковую парковочную систему)*8 | Отображается | Вход | CAN | Сигнал запроса диагностики датчика | ЭБУ предупреждения о недопустимой дистанции | A2, B1, B13 |
| Clean Park Sonar (очистите ультразвуковой датчик системы парковки)*8 | Отображается | Вход | CAN | Сигнал запроса диагностики датчика | ЭБУ предупреждения о недопустимой дистанции | A2, B1, B13 |
| Auto Power OFF to Conserve Battery (автоматическое выключение питания для экономии энергии аккумуляторной батареи) | Отображается | Вход | CAN | Сигнал предупреждения интеллектуальной системы 2 | ЭБУ сертификации (ЭБУ электронного ключа питания в сборе) | A2, B1, B13 |
| Shift to P position when parked (для постановки на стоянку переключитесь в положение P) | Отображается | Вход | CAN | Сигнал предупреждения интеллектуальной системы 2 | ЭБУ сертификации (ЭБУ электронного ключа питания в сборе) | A2, B1, B13 |
| EPS Failure. Steering Wheel Harder to Turn. (Для поворота рулевого колеса требуется большее усилие.) | Отображается | Вход | CAN | Сигнал запроса мультиинформационного дисплея | ЭБУ рулевого управления с усилителем | A2, B1, B13 |
| Voltage Abnormality. (Ненормальное напряжение.) Steering Wheel Harder to Turn. (Для поворота рулевого колеса требуется большее усилие.) | Отображается | Вход | CAN | Сигнал запроса мультиинформационного дисплея | ЭБУ рулевого управления с усилителем | A2, B1, B13 |
| Check Power Steering System (проверьте усилитель рулевого управления) | Отображается | Вход | CAN | Сигнал запроса мультиинформационного дисплея | ЭБУ рулевого управления с усилителем | A2, B1, B13 |
| Release Parking Brake | Отображается | Вход | CAN | Сигнал выключателя стояночного тормоза | Главный ЭБУ кузова (бортовой ЭБУ сети мультиплексной связи) | A2, B1, B13 |
| Сигнал скорости автомобиля (SP1) | Блок управления рабочими цилиндрами тормозов в сборе (ЭБУ системы противоскольжения) | |||||
| Key not Detected (ключ не обнаружен) | Отображается | Вход | CAN | Сигнал предупреждения интеллектуальной системы 1 | ЭБУ сертификации (ЭБУ электронного ключа питания в сборе) | A2, B1, B13 |
| 1st Gear not Available due to slippery road surface (1-я передача не включается из-за скользкой дорожной поверхности) | Отображается | Вход | CAN | Сигнал признака блокировки диапазона для низкой передачи | ECM | A2, B1, B13 |
| Speed Limit Exceeded (превышение предела скорости)*19 | Отображается | Вход | CAN | Сигнал скорости автомобиля (SP1) | Блок управления рабочими цилиндрами тормозов в сборе (ЭБУ системы противоскольжения) | A2, B1, B13 |
| Check SRS Airbag System (проверьте систему подушек безопасности SRS) | Отображается | Вход | CAN | Сигнал запроса управления контрольной лампой SRS | Блок управления системы SRS | A2, B1, B13 |
| Check ABS (проверьте АБС) | Отображается | Вход | CAN | Сигнал признака управления контрольной лампы ABS | Блок управления рабочими цилиндрами тормозов в сборе (ЭБУ системы противоскольжения) | A2, B1, B13 |
| Engine Coolant High Temperature (Высокая температура охлаждающей жидкости двигателя) | Отображается | Вход | CAN | Сигнал температуры охлаждающей жидкости | ECM | A2, B1, B13 |
| Clean Radar Sensor (очистите датчик радара)*4 | Отображается | Вход | CAN | Аварийный сигнал круиз-контроля | ЭБУ помощи при движении в сборе | A2, B1, B13 |
| Сигнал обнаружения загрязнения датчика | ||||||
| Cruise Control not available (режим круиз-контроля недоступен)*4 | Отображается | Вход | CAN | Аварийный сигнал круиз-контроля | ЭБУ помощи при движении в сборе | A2, B1, B13 |
| Сигнал обнаружения загрязнения датчика | ||||||
| Сигнал определения плохой погоды | ||||||
| LDA not available (система LDA недоступна)*6 | Отображается | Вход | CAN | Сигнал отображения текстового сообщения о временной неработоспособности | Камера системы предупреждения об уходе с полосы | A2, B1, B13 |
| Check Entry & Start System (проверьте систему посадки и запуска) | Отображается | Вход | CAN | Сигнал предупреждения интеллектуальной системы 1 | ЭБУ сертификации (ЭБУ электронного ключа питания в сборе) | A2, B1, B13 |
| BSM not available (система BSM недоступна)*13 | Отображается | Вход | CAN | Сигнал состояния модуля BSD | Левый датчик системы контроля слепых зон | A2, B1, B13 |
| Check Cruise Control System (проверьте систему круиз-контроля)*3 | Отображается | Вход | CAN | Аварийный сигнал круиз-контроля | ECM | A2, B1, B13 |
| Check Cruise Control System (проверьте систему круиз-контроля)*4 | Отображается | Вход | CAN | Аварийный сигнал круиз-контроля | ЭБУ помощи при движении в сборе | A2, B1, B13 |
| Сигнал прекращения удержания | ||||||
| Check LDA System (проверьте систему LDA)*6 | Отображается | Вход | CAN | Сигнал отображения текстового сообщения о неисправности | Камера системы предупреждения об уходе с полосы | A2, B1, B13 |
| Extended Prolongs Smart Stop and Reduces AC Output (длительный режим продлевает работу интеллектуального останова и уменьшает мощность системы кондиционирования)*16 | Отображается | Вход | CAN | Сигнал режима системы кондиционирования при запуске в ЭБУ запуска и останова | ЭБУ запуска и останова двигателя | A2, B1, B13 |
| Standard Balances Smart Stop and AC Output (стандартный режим уравновешивает работу интеллектуального останова и мощность системы кондиционирования)*16 | Отображается | Вход | CAN | Сигнал режима системы кондиционирования при запуске в ЭБУ запуска и останова | ЭБУ запуска и останова двигателя | A2, B1, B13 |
| Check PCS System (проверьте систему PCS)*5 | Отображается | Вход | CAN | Сигнал отображения текстового сообщения о неисправности PCS | ЭБУ помощи при движении в сборе | A2, B1, B13 |
| Check BSM System (проверьте систему BSM)*13 | Отображается | Вход | CAN | Сигнал состояния модуля BSD | Левый датчик системы контроля слепых зон | A2, B1, B13 |
| Engine Oil Pressure Low (Низкое давление моторного масла) | Отображается | Вход | CAN | Сигнал запроса на запрещение включения контрольной лампы давления моторного масла | ЭБУ запуска и останова двигателя*16 | A2, B1, B13 |
| Запрос сигнала контрольной лампы низкого давления моторного масла*18 | ECM | |||||
| Сигнал данных частоты вращения коленчатого вала двигателя | ||||||
| Шина прямой связи | Сигнал давления моторного масла | Контактный датчик давления моторного масла в сборе*24 | ||||
| Transmission Fluid High Temperature (высокая температура трансмиссионной жидкости) | Отображается | Вход | CAN | Сигнал предупреждения о температуре масла AT | ECM | A2, B1, B13 |
| Check VGRS System (проверьте систему VGRS)*12 | Отображается | Вход | CAN | Сигнал запроса для щитка приборов | ЭБУ переднего рулевого управления | A2, B1, B13 |
| Сигнал стартера | ECM*17 | |||||
| Сигнал пуска двигателя вручную | ЭБУ запуска и останова двигателя*16 | |||||
| POP UP HOOD Activated. (Приведен в действие АКТИВНЫЙ КАПОТ.) | Отображается | Вход | CAN | Сигнал запроса включения контрольной лампы системы защиты пешеходов | Блок управления системы SRS | A2, B1, B13 |
| POP UP HOOD Failure. (Отказ АКТИВНОГО КАПОТА.) | Отображается | Вход | CAN | Сигнал запроса включения контрольной лампы системы защиты пешеходов | Блок управления системы SRS | A2, B1, B13 |
| LDA System is Unavailable Below 50 km/h.*6 | Отображается | Вход | CAN | Сигнал отображения текстового сообщения о ненормальной скорости | Камера системы предупреждения об уходе с полосы | A2, B1, B13 |
| LDA System is Unavailable Below 32 MPH (система LDA недоступна при скорости менее 32 миль в час).*6 | Отображается | Вход | CAN | Сигнал отображения текстового сообщения о ненормальной скорости | Камера системы предупреждения об уходе с полосы | A2, B1, B13 |
| LDA System is Unavailable at this Speed. (Система LDA при этой скорости недоступна.)*6 | Отображается | Вход | CAN | Сигнал отображения текстового сообщения о ненормальной скорости | Камера системы предупреждения об уходе с полосы | A2, B1, B13 |
| Dynamic radar cruise control*4 или Lane departure alert*6 indicator | Отображается | Вход | CAN | Сигнал идентификатора 1 отображения ACC | ЭБУ помощи при движении в сборе | A2, B1, B13 |
| Сигнал идентификатора 2 отображения ACC | ||||||
| Сигнал символа белой линии с левой стороны | Камера системы предупреждения об уходе с полосы | |||||
| Сигнал символа белой линии с правой стороны | ||||||
| Stop & Start System Malfunction Visit Your Dealer (неисправность системы запуска и останова, обратитесь к дилеру)*16 | Отображается | Вход | CAN | Информационный сигнал системы запуска и останова (неисправность системы) | ЭБУ запуска и останова двигателя | A2, B1, B13 |
| Engine Stopped, Steering Wheel Harder to Turn. (Двигатель остановлен, для поворота рулевого колеса требуется большее усилие.) | Отображается | Вход | CAN | Сигнал запроса мультиинформационного дисплея | ЭБУ рулевого управления с усилителем | A2, B1, B13 |
| Turn power OFF (выключите питание) | Отображается | Вход | CAN | Сигнал предупреждения интеллектуальной системы 2 | ЭБУ сертификации (ЭБУ электронного ключа питания в сборе) | A2, B1, B13 |
| Key detected in vehicle (в автомобиле обнаружен ключ) | Отображается | Вход | CAN | Сигнал предупреждения интеллектуальной системы 3 | ЭБУ сертификации (ЭБУ электронного ключа питания в сборе) | A2, B1, B13 |
| Turn Light Off (выключите освещение) | Отображается | Вход | CAN | Сигнал выключателя освещения дверного проема со стороны водителя | Главный ЭБУ кузова (бортовой ЭБУ сети мультиплексной связи) | A2, B1, B13 |
| Сигнал состояния системы освещения | ||||||
| Moon Roof opened (люк открыт)*14 | Отображается | Вход | CAN | Сигнал предупреждения о незакрытом люке | Главный ЭБУ кузова (бортовой ЭБУ сети мультиплексной связи) | A2, B1, B13 |
| Window opened (открыто окно) | Отображается | Вход | CAN | Сигнал запроса предупреждения об открытом окне с электрическим стеклоподъемником | Главный ЭБУ кузова (бортовой ЭБУ сети мультиплексной связи) | A2, B1, B13 |
| Window / Moon Roof opened (открыто окно / открыт люк)*14 | Отображается | Вход | CAN | Сигнал запроса предупреждения об открытом окне с электрическим стеклоподъемником | Главный ЭБУ кузова (бортовой ЭБУ сети мультиплексной связи) | A2, B1, B13 |
| Сигнал предупреждения о незакрытом люке | ||||||
| Depress brake pedal, touch engine switch with key (нажмите педаль тормоза, приложите ключ к выключателю зажигания) | Отображается | Вход | CAN | Сигнал предупреждения интеллектуальной системы 1 | ЭБУ сертификации (ЭБУ электронного ключа питания в сборе) | A2, B1, B13 |
| Depress brake pedal and push engine switch to start (нажмите педаль тормоза, а затем нажмите на выключатель зажигания для запуска двигателя) | Отображается | Вход | CAN | Сигнал предупреждения интеллектуальной системы 3 | ЭБУ сертификации (ЭБУ электронного ключа питания в сборе) | A2, B1, B13 |
| The Accelerator is Stuck. Please Check the Accelerator. (Проверьте педаль акселератора.) | Отображается | Вход | CAN | Сигнал запроса мультиинформационного дисплея BOS | ECM | A2, B1, B13 |
| Steering lock active (включена блокировка рулевого управления) | Отображается | Вход | CAN | Сигнал предупреждения интеллектуальной системы 1 | ЭБУ сертификации (ЭБУ электронного ключа питания в сборе) | A2, B1, B13 |
| Brake Override System Failure. (Отказ системы принудительного включения тормозов.) | Отображается | Вход | CAN | Сигнал запроса мультиинформационного дисплея BOS | ECM | A2, B1, B13 |
| Key Battery Low (батарея ключа разряжена) | Отображается | Вход | CAN | Сигнал предупреждения интеллектуальной системы 1 | ЭБУ сертификации (ЭБУ электронного ключа питания в сборе) | A2, B1, B13 |
| Engine Oil Level Low (низкий уровень моторного масла) | Отображается | Вход | CAN | Сигнал температуры охлаждающей жидкости | ECM | A2, B1, B13 |
| Шина прямой связи | Сигнал уровня моторного масла | Датчик уровня моторного масла | ||||
| Check Headlight System (проверьте систему фар) | Отображается | Вход | CAN | Сигнал индикатора интеллектуальной системы переключения света фар*7 | Главный ЭБУ кузова (бортовой ЭБУ сети мультиплексной связи) | A2, B1, B13 |
| Сигнал индикатора светодиодных фар*21 | ||||||
| Сигнал индикатора системы управления уровнем фар | ЭБУ системы управления уровнем фар | |||||
| Сигнал стартера | ECM*17 | |||||
| Сигнал пуска двигателя вручную | ЭБУ запуска и останова двигателя*16 | |||||
| Both Accelerator and Brake Pedals Are Depressed. (Одновременно нажаты педали тормоза и акселератора.) | Отображается | Вход | CAN | Сигнал запроса мультиинформационного дисплея BOS | ECM | A2, B1, B13 |
| Контрольная лампа системы предупреждения о ненадлежащем давлении в шинах | Отображается | Вход | CAN | Сигнал бита 0 запроса отображения TPMS | Главный ЭБУ кузова (бортовой ЭБУ сети мультиплексной связи) | A2, B1, B13 |
| Check VGRS System (проверьте систему VGRS)*12 | Отображается | Вход | CAN | Сигнал запроса для щитка приборов | ЭБУ переднего рулевого управления | A2, B1, B13 |
| Washer Fluid Low (низкий уровень жидкости стеклоомывателя) | Отображается | Вход | Шина прямой связи | Сигнал уровня жидкости стеклоомывателя | Датчик аварийного уровня в сборе | A2, B1, B13 |
| Низкий уровень топлива | Отображается | Вход | Шина прямой связи | Сигнал уровня топлива |
|
A2, B1, B13 |
| TRC OFF (TRC выключена) | Отображается | Вход | CAN | Сигнал контрольной лампы TRC OFF | Блок управления рабочими цилиндрами тормозов в сборе (ЭБУ системы противоскольжения) | A2, B1, B13 |
| Сигнал стартера | ECM*17 | |||||
| Сигнал пуска двигателя вручную | ЭБУ запуска и останова двигателя*16 | |||||
| Oil Maintenance Required Soon*20 (вскоре потребуется замена моторного масла) | Отображается | Вход | CAN | Сигнал контрольной лампы замены моторного масла 2 | ECM | A2, B1, B13 |
| - | Выход | CAN | Сигнал сброса системы контроля состояния моторного масла 2 | ECM | ||
| Injector Maintenance required soon (скоро потребуется обслуживание форсунок)*22 | Отображается | Вход | CAN | Сигнал индикатора замены форсунок | ECM | A2, B1, B13 |
| Oil Maintenance Required Visit Your Dealer (требуется замена масла, обратитесь к дилеру)*20 | Отображается | Вход | CAN | Сигнал контрольной лампы замены моторного масла 2 | ECM | A2, B1, B13 |
| - | Выход | CAN | Сигнал сброса системы контроля состояния моторного масла 2 | ECM | ||
| Injector Maintenance required*22 | Отображается | Вход | CAN | Сигнал индикатора замены форсунок | ECM | A2, B1, B13 |
| Turn on the high beam to activate AHB System (Включите фары дальнего света для приведения в действие системы AHB)*7 | Отображается | Вход | CAN | Сигнал рекомендации интеллектуальной системы переключения света фар | Главный ЭБУ кузова (бортовой ЭБУ сети мультиплексной связи) | A2, B1, B13 |
| Depress brake pedal and push engine switch to start (нажмите педаль тормоза, а затем нажмите на выключатель зажигания для запуска двигателя) | Отображается | Вход | CAN | Сигнал предупреждения интеллектуальной системы 1 | ЭБУ сертификации (ЭБУ электронного ключа питания в сборе) | A2, B1, B13 |
| VSC System Switched Off. (Система VSC выключена.) Pre-crash Brake System Disengaged" (система предаварийного включения тормозов выключена)."*5 | Отображается | Вход | CAN | Сигнал отображения текстового сообщения о временной неработоспособности PB | ЭБУ помощи при движении в сборе | A2, B1, B13 |
| Сигнал контрольной лампы VSC OFF | Блок управления рабочими цилиндрами тормозов в сборе (ЭБУ системы противоскольжения) | |||||
| PCS temporarily not available (PCS временно неработоспособна)*5 | Отображается | Вход | CAN | Сигнал отображения текстового сообщения о временной неработоспособности PCS | ЭБУ помощи при движении в сборе | A2, B1, B13 |
| Operation of Electrical Items Restricted. (Работа электрических устройств ограничена.) | Отображается | Вход | CAN | Сигнал предупреждения ограничения нагрузки системы кондиционирования | Блок управления системой кондиционирования в сборе | A2, B1, B13 |
| Theft Sensor OFF*23 | Отображается | Вход | CAN | Сигнал индикации состояния датчика проникновения | Главный ЭБУ кузова (бортовой ЭБУ сети мультиплексной связи) | A2, B1, B13 |
| Theft Sensor ON*23 | Отображается | Вход | CAN | Сигнал индикации состояния датчика проникновения | Главный ЭБУ кузова (бортовой ЭБУ сети мультиплексной связи) | A2, B1, B13 |
*1: кроме моделей с комплектацией F SPORT
*2: для моделей с комплектацией F SPORT
*3: Для моделей без динамической радарной системы круиз-контроля
*4: Для моделей с динамической радарной системой круиз-контроля
*5: для моделей с предаварийной системой безопасности
*6: для моделей с системой предупреждения об уходе с полосы
*7: для моделей с системой автоматического включения дальнего света
*8: для моделей с сенсорной системой помощи при парковке LEXUS
*9: для моделей с системой навигации
*10: для моделей с системой регулируемой адаптивной подвески
*11: для моделей с системой предупреждения о ненадлежащем давлении в шинах с отображением давления в шинах
*12: для моделей с рулевым управлением с переменным передаточным числом
*13: для моделей с системой контроля слепых зон
*14: для моделей с люком
*15: для моделей без системы регулируемой адаптивной подвески
*16: для моделей с системой запуска и останова
*17: Для моделей без системы запуска и останова
*18: для моделей с 8AR-FTS
*19: для моделей с системой предупреждения о превышении скорости
*20: для моделей с функцией напоминания о необходимости замены масла
*21: Для моделей со светодиодными фарами
*22: для моделей с функцией напоминания о необходимости технического обслуживания топливной форсунки
*23: для моделей с противоугонной системой
*24: для моделей с 2GR-FSE
*25: для моделей с 8AR-FTS с указателем давления наддува
Зуммер
| Параметр / Устройство | Условие | Вход/выход | Линия передачи данных | Сигнал | Устройство |
|---|---|---|---|---|---|
| Зуммер уведомления о перезапуске во время движения | Непрерывно издает звуковой сигнал | Вход | CAN | Сигнал предупреждения интеллектуальной системы 2 | ЭБУ сертификации (ЭБУ электронного ключа питания в сборе) |
| Зуммер предупреждения об управлении выключателем зажигания во время движения | Издает прерывистый звуковой сигнал | Вход | CAN | Сигнал запроса прерывистого включения зуммера управления переключателем | ЭБУ сертификации (ЭБУ электронного ключа питания в сборе) |
| Зуммер предупреждения о непристегнутом ремне безопасности (для водителя) | Издает прерывистый звуковой сигнал (не более 5 раз) | Вход | CAN | Сигнал выключателя ремня безопасности водителя | Главный ЭБУ кузова (бортовой ЭБУ сети мультиплексной связи) |
| Подает один сигнал / звучит прерывисто | Вход | CAN | Сигнал выключателя пряжки ремня безопасности сиденья водителя | Главный ЭБУ кузова (бортовой ЭБУ сети мультиплексной связи) | |
| Сигнал выключателя стояночного тормоза | |||||
| Сигнал положения P рычага переключения передач | ECM | ||||
| Сигнал положения R рычага переключения передач | |||||
| Сигнал скорости автомобиля (SP1) | Блок управления рабочими цилиндрами тормозов в сборе (ЭБУ системы противоскольжения) | ||||
| Зуммер предупреждения о непристегнутом ремне безопасности (для переднего пассажира) | Подает один сигнал / звучит прерывисто | Вход | CAN | Сигнал выключателя стояночного тормоза | Главный ЭБУ кузова (бортовой ЭБУ сети мультиплексной связи) |
| Сигнал положения P рычага переключения передач | ECM | ||||
| Сигнал положения R рычага переключения передач | |||||
| Сигнал скорости автомобиля (SP1) | Блок управления рабочими цилиндрами тормозов в сборе (ЭБУ системы противоскольжения) | ||||
| Шина прямой связи | Сигнал состояния выключателя пряжки ремня безопасности переднего пассажира | Замок ремня безопасности правого переднего сиденья*11 | |||
| Замок ремня безопасности левого переднего сиденья*12 | |||||
| Сигнал наличия пассажира на сиденье переднего пассажира | Подушка раздельного переднего сиденья (датчик присутствия пассажира) | ||||
| Зуммер предупреждения о непристегнутом ремне безопасности (для заднего сиденья)*3 | Издает прерывистый звуковой сигнал | Вход | CAN | Сигнал положения P рычага переключения передач | ECM |
| Сигнал положения R рычага переключения передач | |||||
| Сигнал выключателя освещения проема правой задней двери | Главный ЭБУ кузова (бортовой ЭБУ сети мультиплексной связи) | ||||
| Сигнал выключателя освещения проема левой задней двери | |||||
| Сигнал скорости автомобиля (SP1) | Блок управления рабочими цилиндрами тормозов в сборе (ЭБУ системы противоскольжения) | ||||
| Шина прямой связи | Сигнал выключателя пряжки ремня безопасности левого заднего сиденья |
|
|||
| Сигнал выключателя пряжки центрального ремня безопасности заднего сиденья | |||||
| Сигнал выключателя пряжки правого ремня безопасности заднего сиденья | Замок ремня безопасности правого заднего сиденья № 1 в сборе | ||||
| Зуммер уведомления об откате автомобиля (ШАГ 1) | Непрерывно издает звуковой сигнал | Вход | CAN | Сигнал данных частоты вращения коленчатого вала двигателя | ECM |
| Сигнал положения P рычага переключения передач | |||||
| Сигнал положения N рычага переключения передач | |||||
| Сигнал скорости автомобиля (SP1) | Блок управления рабочими цилиндрами тормозов в сборе (ЭБУ системы противоскольжения) | ||||
| Сигнал режима ECO | ЭБУ запуска и останова двигателя*2 | ||||
| Зуммер уведомления об откате автомобиля (ШАГ 2) | Непрерывно издает звуковой сигнал | Вход | CAN | Сигнал данных частоты вращения коленчатого вала двигателя | ECM |
| Сигнал положения P рычага переключения передач | |||||
| Сигнал положения N рычага переключения передач | |||||
| Сигнал скорости автомобиля (SP1) | Блок управления рабочими цилиндрами тормозов в сборе (ЭБУ системы противоскольжения) | ||||
| Сигнал режима ECO | ЭБУ запуска и останова двигателя*2 | ||||
| Зуммер предупреждения о низком уровне тормозной жидкости | Издает прерывистый звуковой сигнал | Вход | CAN | Сигнал скорости автомобиля (SP1) | Блок управления рабочими цилиндрами тормозов в сборе (ЭБУ системы противоскольжения) |
| Прямое соединение | Сигнал датчика уровня тормозной жидкости | Бачок главного цилиндра тормозной системы в сборе (датчик уровня тормозной жидкости) | |||
| Зуммер предупреждения о давлении моторного масла | Издает прерывистый звуковой сигнал | Вход | CAN | Сигнал запроса на запрещение включения контрольной лампы давления моторного масла | ЭБУ запуска и останова двигателя*2 |
| Запрос сигнала контрольной лампы низкого давления моторного масла*7 | ECM | ||||
| Сигнал данных частоты вращения коленчатого вала двигателя | |||||
| Сигнал скорости автомобиля (SP1) | Блок управления рабочими цилиндрами тормозов в сборе (ЭБУ системы противоскольжения) | ||||
| Шина прямой связи | Сигнал давления моторного масла | Контактный датчик давления моторного масла в сборе*8 | |||
| Предупредительный звуковой сигнал EPS | Издается 1 звуковой сигнал | Вход | CAN | Сигнал запроса включения зуммера для щитка приборов | ЭБУ рулевого управления с усилителем |
| Зуммер предупреждения о температуре охлаждающей жидкости двигателя | Издается 1 звуковой сигнал | Вход | CAN | Сигнал температуры охлаждающей жидкости | ECM |
| Зуммер электронного ключа зажигания | Издает прерывистый звуковой сигнал | Вход | CAN | Сигнал запроса прерывистого включения зуммера щитка приборов | ЭБУ сертификации (ЭБУ электронного ключа питания в сборе) |
| Издает прерывистый звуковой сигнал (не более 9 раз) | Вход | CAN | Сигнал запроса прерывистого включения зуммера щитка приборов (интервал 0,7 с) | ||
| Непрерывно издает звуковой сигнал | Вход | CAN | Сигнал запроса непрерывного включения зуммера щитка приборов | ||
| Издается 1 звуковой сигнал | Вход | CAN | Сигнал запроса однократного включения зуммера щитка приборов | ||
| Предупредительный зуммер системы запуска и останова*2 | Непрерывно издает звуковой сигнал | Вход | CAN | Сигнал запроса включения зуммера | ЭБУ запуска и останова двигателя |
| Мультиинформационный дисплей и предупредительный зуммер | Издается 1 звуковой сигнал | Вход | CAN | Сигнал предупреждения мультиинформационного дисплея | Соответствующие ЭБУ |
| Шина прямой связи | |||||
| Зуммер отключения радарной системы круиз-контроля на низкой скорости*1 | Подает два звуковых сигнала | Вход | CAN | Сигнал запроса включения зуммера отключения системы при низкой скорости | ЭБУ помощи при движении в сборе |
| Зуммер завершения идентификации ключа иммобилайзера | Издается 1 звуковой сигнал | Вход | CAN | Сигнал завершения идентификации ключа иммобилайзера | ЭБУ сертификации (ЭБУ электронного ключа питания в сборе) |
| Зуммер предупреждения о превышении скорости*6 | Издает прерывистый звуковой сигнал (Не более 6 раз) |
Вход | CAN | Сигнал скорости автомобиля (SP1) | Блок управления рабочими цилиндрами тормозов в сборе (ЭБУ системы противоскольжения) |
| Зуммер предупреждения о движении с включенным стояночным тормозом | Издает прерывистый звуковой сигнал | Вход | CAN | Сигнал выключателя стояночного тормоза | Главный ЭБУ кузова (бортовой ЭБУ сети мультиплексной связи) |
| Сигнал скорости автомобиля (SP1) | Блок управления рабочими цилиндрами тормозов в сборе (ЭБУ системы противоскольжения) | ||||
| Зуммер предупреждения о движении с неплотно закрытой дверью | Издает прерывистый звуковой сигнал | Вход | CAN | Сигнал выключателя освещения дверного проема со стороны водителя | Главный ЭБУ кузова (бортовой ЭБУ сети мультиплексной связи) |
| Сигнал выключателя освещения проема двери переднего пассажира | |||||
| Сигнал выключателя освещения проема правой задней двери | |||||
| Сигнал выключателя освещения проема левой задней двери | |||||
| Сигнал выключателя освещения проема двери багажного отделения | |||||
| Сигнал выключателя освещения проема капота | |||||
| Сигнал скорости автомобиля (SP1) | Блок управления рабочими цилиндрами тормозов в сборе (ЭБУ системы противоскольжения) | ||||
| Зуммер отклонения спортивного режима переключения передач | Подает два звуковых сигнала | Вход | CAN | Сигнал зуммера блокировки | ECM |
| Зуммер оповещения о невыключенном освещении | Непрерывно издает звуковой сигнал | Вход | CAN | Сигнал состояния системы освещения | Главный ЭБУ кузова (бортовой ЭБУ сети мультиплексной связи) |
| Сигнал выключателя освещения дверного проема со стороны водителя | |||||
| Зуммер выключателя проблескового режима указателя поворота | Издает прерывистый звуковой сигнал | Вход | Шина прямой связи | Сигнал переключателя левого указателя поворота | Переключатель стеклоочистителя ветрового стекла в сборе |
| Сигнал переключателя правого указателя поворота | |||||
| Сигнал выключателя аварийной сигнализации | Панель управления системой кондиционирования в сборе |
*1: для моделей с динамической радарной системой круиз-контроля
*2: для моделей с системой запуска и останова
*3: для моделей с функцией предупреждения о непристегнутых ремнях безопасности задних сидений
*4: для моделей с нерегулируемыми сиденьями
*5: для моделей со складывающимися сиденьями
*6: для моделей с системой предупреждения о превышении скорости
*7: для моделей с 8AR-FTS
*8: для моделей с 2GR-FSE
Прочие
| Параметр / Устройство | Условие | Вход/выход | Линия передачи данных | Сигнал | Устройство |
|---|---|---|---|---|---|
| Подсветка щитка приборов | Уровень подсветки | Вход | CAN | Сигнал данных об освещенности | Главный ЭБУ кузова (бортовой ЭБУ сети мультиплексной связи) |
| Сигнал автоматического переключателя света фар | |||||
| Сигнал запроса включения задних фонарей | |||||
| Сигнал состояния парковки | |||||
| Сигнал запроса включения освещения панели | |||||
| Шина прямой связи | Сигнал уровня освещенности | Переключатель TRIP | |||
| - | Выход | CAN | Сигнал включения реостата | Соответствующие ЭБУ | |
| Сигнал выключения подсветки салона | |||||
| Сигнал выключения задних фонарей | |||||
| Шина прямой связи | Выходной сигнал уровня освещенности |
БЛОК-СХЕМА МУЛЬТИИНФОРМАЦИОННОГО ДИСПЛЕЯ
Блок-схема мультиинформационного дисплея (кроме моделей в комплектации F SPORT)
| *a | Условия не выполняются | *b | Условия выполняются |
| *c | При выдаче нескольких запросов на индикацию информация отображается последовательно. | *d | Экран или параметры выбираются с помощью переключателя на рулевом колесе. |
| *e | В течение некоторого времени после выключения зажигания отображаются показания одометра. | *f | После включения зажигания (IG) |
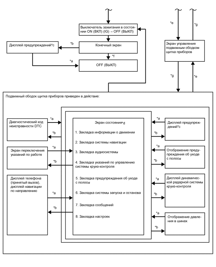
Блок-схема мультиинформационного дисплея (для моделей в комплектации F SPORT)
| *a | Условия не выполняются | *b | Условия выполняются |
| *c | При выдаче нескольких запросов на индикацию информация отображается последовательно. | *d | Экран или параметры выбираются с помощью переключателя на рулевом колесе. |
| *e | Нажатие переключателя TOP (вверх) | *f | В течение некоторого времени после выключения зажигания отображаются показания одометра. |
| *g | Приведен в действие подвижный ободок щитка приборов | *h | После включения зажигания (IG) |
ОПИСАНИЕ ПРЕДУПРЕЖДАЮЩЕЙ ИНДИКАЦИИ
| Приоритет | Название системы / (функция автомобиля) | Главная контрольная лампа аварийного состояния ○: Загорается ●: Мигает |
Зуммер(*1) | Дисплей | Уровень |
|---|---|---|---|---|---|
| 1 | (Режим динамометрического стенда) | - | - | CDY-2 | Предостережение |
| - | - | CDY-4 | Предостережение | ||
| Система рулевого управления с переменным передаточным числом | - | - | VGRS Test Mode (режим проверки VGRS) | Предостережение | |
| Система предупреждения об уходе с полосы | - | - | Adjusting LDA Camera (регулировка камеры системы предупреждения об уходе с полосы) | Предостережение | |
| Динамическая радарная система круиз-контроля | - | - | Adjusting Front Radar Beam (регулировка диаграммы направленности переднего радара) | Предостережение | |
| Предаварийная система безопасности | - | - | BRAKE! (торможение!) | Предупреждение | |
| Система посадки и запуска | ● | * | Holding in Engine Switch Will Cause an Emergency Engine Stop. (Удерживание выключателя зажигания вызовет аварийный останов двигателя.) | Предупреждение | |
| ● | * | To Restart Car, Shift Lever to "N" and Press Engine Switch. (Для перезапуска автомобиля установите рычаг в положение "N" и нажмите выключатель зажигания.) | Предостережение | ||
| ● | * | The Engine Has Stopped. (двигатель остановлен.) Please Put Shift Lever into "P". (установите рычаг переключения передач в положение "P".) | Предостережение | ||
| (предупреждение об откате автомобиля) | ● | * | The Engine Has Stopped. (двигатель остановлен.) Please Stop Your Car in a Safe Place. (остановите автомобиль в безопасном месте.) | Предостережение | |
| ● | * | To Restart Car, Shift Lever to "N" and Press Engine Switch. (Для перезапуска автомобиля установите рычаг в положение "N" и нажмите выключатель зажигания.) | Предостережение | ||
| 2 | Динамическая радарная система круиз-контроля или система предупреждения об уходе с полосы | - | - | Предупреждающий индикатор динамической радарной системы круиз-контроля или системы предупреждения об уходе с полосы | - |
| Система курсовой устойчивости | ● | ○ | Brake Malfunction (Неисправность тормозов) | Предупреждение | |
| Brake override system (Система принудительного включения тормозов) | ● | ○ | The Accelerator is Stuck. Please Depress Brake Pedal to Stop Car. (педаль акселератора заклинило. Нажмите педаль тормоза, чтобы остановить автомобиль.) | Предостережение | |
| 3 | (Предупреждение о состоянии всех дверей (автомобиль движется)) | ● | * | Each door ajar (все двери неплотно закрыты) (во время движения автомобиля) | Предостережение |
| (Предупреждение о состоянии всех дверей (автомобиль неподвижен)) | - | - | Each door ajar (все двери неплотно закрыты) (когда автомобиль остановлен) | Предостережение | |
| Сенсорная система помощи при парковке LEXUS | - | - | Обнаружение объектов системой ультразвуковой локации (отображение изображения) | Предостережение | |
| ○ | - | Check Park Sonar System (проверьте ультразвуковую парковочную систему) | Предостережение | ||
| ○ | - | Clean Park Sonar (очистите ультразвуковой датчик системы парковки) | Предостережение | ||
| 4 | Система посадки и запуска | - | * | Auto Power OFF to Conserve Battery (автоматическое выключение питания для экономии энергии аккумуляторной батареи) | Предостережение |
| 5 | Система посадки и запуска | ● | ○ | Shift to P position when parked (для постановки на стоянку переключитесь в положение P) | Предостережение |
| Система рулевого управления с усилителем | ○ | * | EPS Failure. Steering Wheel Harder to Turn. (Для поворота рулевого колеса требуется большее усилие.) | Предостережение | |
| ○ | * | Voltage Abnormality. (Ненормальное напряжение.) Steering Wheel Harder to Turn. (Для поворота рулевого колеса требуется большее усилие.) | Предостережение | ||
| ○ | * | Check Power Steering System (проверьте усилитель рулевого управления) | Предостережение | ||
| (Стояночный тормоз) | ● | * | Release Parking Brake (отпустите стояночный тормоз) | Предостережение | |
| Система посадки и запуска | ● | * | Key not Detected (ключ не обнаружен) | Предостережение | |
| 6 | Система автоматической трансмиссии | ○ | * | 1st Gear not Available due to slippery road surface (1-я передача не включается из-за скользкой дорожной поверхности) | Предостережение |
| 7 | (спидометр) | ● | * | Speed Limit Exceeded (превышена предельная скорость) | Предостережение |
| 8 | Система подушек безопасности | ○ | ○ | Check SRS Airbag System (проверьте систему подушек безопасности SRS) | Предостережение |
| Система курсовой устойчивости | - | ○ | Check ABS (проверьте АБС) | Предостережение | |
| Система SFI | ○ | * | Engine Coolant High Temperature (Высокая температура охлаждающей жидкости двигателя) | Предостережение | |
| Динамическая радарная система круиз-контроля | ○ | ○ | Clean Radar Sensor (очистите датчик радара) | Предостережение | |
| ○ | ○ | Cruise Control not available (режим круиз-контроля недоступен) | Предостережение | ||
| Система предупреждения об уходе с полосы | ○ | ○ | LDA not available (Система предупреждения об уходе с полосы недоступна) | Предостережение | |
| Система посадки и запуска | ● | * | Check Entry & Start System (проверьте систему посадки и запуска) | Предостережение | |
| Система контроля слепых зон | ○ | ○ | BSM not available (BSM недоступна) | Предостережение | |
| Динамическая радарная система круиз-контроля, система круиз-контроля | ○ | ○ | Check Cruise Control System (проверьте систему круиз-контроля) | Предостережение | |
| Система предупреждения об уходе с полосы | ○ | ○ | Check LDA System (Проверьте систему предупреждения об уходе с полосы) | Предостережение | |
| Система запуска и останова | - | - | Extended Prolongs Smart Stop and Reduces AC Output (длительный режим продлевает работу интеллектуального останова и уменьшает мощность системы кондиционирования) | Рекомендация | |
| - | - | Standard Balances Smart Stop and AC Output (стандартный режим уравновешивает работу интеллектуального останова и мощность системы кондиционирования) | Рекомендация | ||
| Предаварийная система безопасности | ○ | ○ | Check PCS System (проверьте систему PCS) | Предостережение | |
| Система контроля слепых зон | ○ | ○ | Check BSM System (проверьте систему BSM) | Предостережение | |
| (Контактный датчик давления моторного масла) | ○ | * | Engine Oil Pressure Low (Низкое давление моторного масла) | Предостережение | |
| Система автоматической трансмиссии | ○ | ○ | Transmission Fluid High Temperature (высокая температура трансмиссионной жидкости) | Предостережение | |
| Система рулевого управления с переменным передаточным числом | ○ | ○ | Check VGRS System (проверьте систему VGRS) | Предостережение | |
| Система подушек безопасности | ○ | ○ | POP UP HOOD Activated. (Приведен в действие АКТИВНЫЙ КАПОТ.) | Предостережение | |
| ○ | ○ | POP UP HOOD Failure. (Отказ АКТИВНОГО КАПОТА.) | Предостережение | ||
| Система предупреждения об уходе с полосы | - | - | LDA System is Unavailable Below 50 km/h (система LDA недоступна при скорости менее 50 км/час). | Рекомендация | |
| - | - | LDA System is Unavailable Below 32 MPH (система LDA недоступна при скорости менее 32 миль в час). | Рекомендация | ||
| - | - | LDA System is Unavailable at this Speed. (система LDA при этой скорости недоступна.) | Рекомендация | ||
| 9 | Динамическая радарная система круиз-контроля или система предупреждения об уходе с полосы | - | - | Индикатор динамической радарной системы круиз-контроля или системы предупреждения об уходе с полосы | - |
| Система запуска и останова | ○ | ○ | Stop & Start System Malfunction Visit Your Dealer (неисправность системы запуска и останова, обратитесь к дилеру) | Предостережение | |
| Система рулевого управления с усилителем | ○ | * | Engine Stopped, Steering Wheel Harder to Turn. (Двигатель остановлен, для поворота рулевого колеса требуется большее усилие.) | Предостережение | |
| Система посадки и запуска | ● | * | Turn power OFF (выключите питание) | Предостережение | |
| ● | * | Key detected in vehicle (в автомобиле обнаружен ключ) | Предостережение | ||
| Система освещения | ● | * | Turn Light Off (выключите освещение) | Предостережение | |
| Система люка | ● | ○ | Moon Roof Opened (люк открыт) | Предостережение | |
| Система управления электрическими стеклоподъемниками | ● | ○ | Window opened (открыто окно) | Предостережение | |
| Система электрических стеклоподъемников или система люка | ● | ○ | Window/Moon Roof opened (открыто окно/люк) | Предостережение | |
| Система посадки и запуска | ● | * | Depress brake pedal, touch engine switch with key (нажмите педаль тормоза, приложите ключ к выключателю зажигания) | Предостережение | |
| - | -/* | Depress brake pedal and push engine switch to start (нажмите педаль тормоза, а затем нажмите на выключатель зажигания для запуска двигателя) | Предостережение | ||
| Brake override system (Система принудительного включения тормозов) | ● | ○ | The Accelerator is Stuck. Please Check the Accelerator. (Проверьте педаль акселератора.) | Предостережение | |
| Система блокировки рулевого управления | ● | * | Steering lock active (включена блокировка рулевого управления) | Предостережение | |
| 10 | Brake override system (Система принудительного включения тормозов) | ○ | ○ | Brake Override System Failure. (Отказ системы принудительного включения тормозов.) | Предостережение |
| 11 | Система посадки и запуска | ○ | * | Key Battery Low (батарея ключа разряжена) | Предостережение |
| (Датчик уровня моторного масла) | ○ | ○ | Engine Oil Level Low (низкий уровень моторного масла) | Предостережение | |
| Система освещения, автоматическая система управления уровнем фар или система автоматического включения дальнего света | ○ | ○ | Check Headlight System (проверьте систему фар) | Предостережение | |
| Brake override system (Система принудительного включения тормозов) | ● | - | Both Accelerator and Brake Pedals Are Depressed. (Одновременно нажаты педали тормоза и акселератора.) | Рекомендация | |
| Система предупреждения о ненадлежащем давлении в шинах | - | - | Контрольная лампа системы предупреждения о ненадлежащем давлении в шинах | Рекомендация | |
| 12 | Система рулевого управления с переменным передаточным числом | ○ | - | Check VGRS System (проверьте систему VGRS) | Предостережение |
| (Датчик аварийного уровня в сборе) | - | - | Washer Fluid Low (низкий уровень жидкости стеклоомывателя) | Рекомендация | |
| (Датчик уровня топлива в сборе) (Датчик уровня топлива № 2 в сборе) |
- | - | Fuel Low (низкий уровень топлива) | Рекомендация | |
| Система курсовой устойчивости | - | - | TRC OFF | Предостережение | |
| (предупреждение о необходимости замены масла) | - | - | Oil Maintenance Required Soon (вскоре потребуется замена моторного масла) | Рекомендация | |
| Система SFI | ○ | - | Injector Maintenance required soon (скоро потребуется обслуживание форсунок) | Рекомендация | |
| (предупреждение о необходимости замены масла) | - | - | Oil Maintenance Required Visit Your Dealer (требуется замена масла, обратитесь к дилеру) | Рекомендация | |
| Система SFI | ○ | - | Injector Maintenance required (требуется обслуживание форсунок) | Рекомендация | |
| Система автоматического включения дальнего света | - | - | Turn on the high beam to activate AHB System (Включение фар дальнего света для приведения в действие системы AHB) | Рекомендация | |
| Система посадки и запуска | - | - | Depress brake pedal and push engine switch to start (нажмите педаль тормоза, а затем нажмите на выключатель зажигания для запуска двигателя) | Предостережение | |
| Предаварийная система безопасности | - | - | VSC System Switched Off. (Система VSC выключена.) Pre-Crash Brake System Disengaged. (Система предаварийного включения тормозов выключена.) | Рекомендация | |
| - | - | PCS temporarily not available (PCS временно недоступна) | Рекомендация | ||
| Система кондиционирования воздуха | - | - | Operation of Electrical Items Restricted. (Работа электрических устройств ограничена.) | Рекомендация | |
| Противоугонная система | - | - | Theft Sensor OFF (датчик противоугонной системы выключен) | Рекомендация | |
| - | - | Theft Sensor ON (датчик противоугонной системы включен) | Рекомендация |
*: Специализированный зуммер издает звуковой сигнал в зависимости от состояния
*1: Зуммеры, связанные с главной контрольной лампой аварийного состояния