СИСТЕМА ПРЕДУПРЕЖДЕНИЯ О НЕНАДЛЕЖАЩЕМ ДАВЛЕНИИ В ШИНАХ, Diagnostic DTC:C2177/77

Код DTC Наименование DTC
C2177/77 Инициализация не завершена

ОПИСАНИЕ

Инициализацию необходимо выполнять в следующих случаях:


№ DTC Неисправность Условие обнаружения DTC Неисправный участок Примечание
C2177/77 Инициализация не завершена

Выполняются все нижепривеленные условия:


  • Во время инициализации

  • Вентиль и передатчик системы предупреждения о ненадлежащем давлении в шинах не находится в режиме прекращения обмена данными

  • Сигнал с вентиля и передатчика системы предупреждения о ненадлежащем давлении в шинах не поступает 20 минут или более

  • Скорость автомобиля в течение 20 мин или дольше превышает 37 км/час (23 мили в час)


  • Вентиль и передатчик системы предупреждения о ненадлежащем давлении в шинах

  • Жгут проводов или разъем

  • ЭБУ и приемник системы предупреждения о ненадлежащем давлении в шинах

-

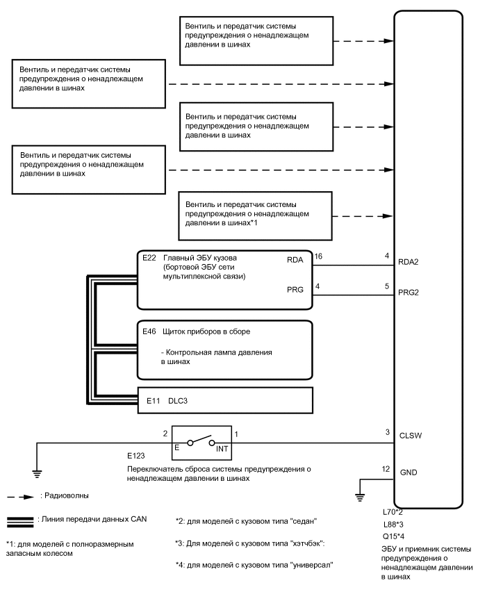
СХЕМА ЭЛЕКТРИЧЕСКИХ СОЕДИНЕНИЙ

A01D3OAE05

ПРЕДОСТЕРЕЖЕНИЕ / ПРИМЕЧАНИЕ / УКАЗАНИЕ

Note


  • В случае замены ЭБУ и приемника системы предупреждения о ненадлежащем давлении в шинах перед их снятием считайте значения идентификаторов передатчиков, сохраненные в ЭБУ, с помощью GTS и запишите их.

  • В случае замены ЭБУ и/или одного из вентилей с передатчиком необходимо выполнить инициализацию, предварительно зарегистрировав Click here идентификаторы передатчиков в ЭБУ с приемником системы предупреждения о ненадлежащем давлении в шинах.

ПОРЯДОК ВЫПОЛНЕНИЯ


  1. ПРОВЕРЬТЕ, ВЫПОЛНЯЕТСЯ ЛИ ЧАСТО ВОЗНИКАЮЩЕЕ УСЛОВИЕ


    1. Убедитесь, что следующие условия не выполняются:


      1. Вблизи автомобиля располагаются системы, установки или устройства, в которых используются аналогичные радиочастоты.

        Tech Tips

        Если автомобиль располагается в каком-либо из мест, подобных описанному выше, контрольная лампа предупреждения о ненадлежащем давлении в шинах может гореть непрерывно после мигания в течение 1 минуты из-за воздействия радиочастотных помех.

      2. Системы в автомобиле, работающие на аналогичных радиочастотах.

        OK
        Вблизи автомобиля не располагаются системы, установки или устройства, в которых используются аналогичные радиочастоты.

        Tech Tips

        Радиосигналы могут искажаться окружающими объектами или устройствами, установленными пользователем.

      Результат
      Следующий шаг
      OK
      NG

    NG
    OK
  2. ВЫПОЛНИТЕ ИНИЦИАЛИЗАЦИЮ


    1. Выполните инициализацию электронной системы.

      Нажмите здесь Click here

      Результат
      Следующий шаг
      ДАЛЕЕ

    ДАЛЕЕ
  3. ПРОВЕРЬТЕ ДАВЛЕНИЕ В ШИНАХ (DATA LIST)


    1. Выключите зажигание.

    2. Подключите GTS к DLC3.

    3. Установите замок зажигания в положение ON (ВКЛ).

    4. Включите GTS.

    5. Войдите в следующие меню: Chassis / Tire Pressure Monitor / Data List.

    6. Проверьте значения в соответствии с таблицей ниже.


      Chassis > Tire Pressure Monitor > Data List
      Информация на дисплее прибора Измеряемая величина Диапазон Нормальное состояние Замечание по диагностике
      ID 1 Tire Inflation Pressure Показание давления в шине ID1

      мин.: абсолютное давление (абс) / 0 кПа (0 кгс/см2, 0 фунтов на кв. дюйм), относительное давление (по манометру) / 0 кПа (0 кгс/см2, 0 фунтов на кв. дюйм)

      макс.: абсолютное давление (абс) / 480 кПа (4,9 кгс/см2, 70 фунтов на кв. дюйм), относительное давление (по манометру) / 380 кПа (3,9 кгс/см2, 55 фунтов на кв. дюйм)

      Фактическое давление в шине Если отображается значение N/A, данные не были получены.*1
      ID 2 Tire Inflation Pressure Показание давления в шине ID2

      мин.: абсолютное давление (абс) / 0 кПа (0 кгс/см2, 0 фунтов на кв. дюйм), относительное давление (по манометру) / 0 кПа (0 кгс/см2, 0 фунтов на кв. дюйм)

      макс.: абсолютное давление (абс) / 480 кПа (4,9 кгс/см2, 70 фунтов на кв. дюйм), относительное давление (по манометру) / 380 кПа (3,9 кгс/см2, 55 фунтов на кв. дюйм)

      Фактическое давление в шине Если отображается значение N/A, данные не были получены.*1
      ID 3 Tire Inflation Pressure ID3 Tire Inflation Pressure

      мин.: абсолютное давление (абс) / 0 кПа (0 кгс/см2, 0 фунтов на кв. дюйм), относительное давление (по манометру) / 0 кПа (0 кгс/см2, 0 фунтов на кв. дюйм)

      макс.: абсолютное давление (абс) / 480 кПа (4,9 кгс/см2, 70 фунтов на кв. дюйм), относительное давление (по манометру) / 380 кПа (3,9 кгс/см2, 55 фунтов на кв. дюйм)

      Фактическое давление в шине Если отображается значение N/A, данные не были получены.*1
      ID 4 Tire Inflation Pressure ID4 Tire Inflation Pressure

      мин.: абсолютное давление (абс) / 0 кПа (0 кгс/см2, 0 фунтов на кв. дюйм), относительное давление (по манометру) / 0 кПа (0 кгс/см2, 0 фунтов на кв. дюйм)

      макс.: абсолютное давление (абс) / 480 кПа (4,9 кгс/см2, 70 фунтов на кв. дюйм), относительное давление (по манометру) / 380 кПа (3,9 кгс/см2, 55 фунтов на кв. дюйм)

      Фактическое давление в шине Если отображается значение N/A, данные не были получены.*1
      ID 5 Tire Inflation Pressure ID5 Tire Inflation Pressure

      мин.: абсолютное давление (абс) / 0 кПа (0 кгс/см2, 0 фунтов на кв. дюйм), относительное давление (по манометру) / 0 кПа (0 кгс/см2, 0 фунтов на кв. дюйм)

      макс.: абсолютное давление (абс) / 480 кПа (4,9 кгс/см2, 70 фунтов на кв. дюйм), относительное давление (по манометру) / 380 кПа (3,9 кгс/см2, 55 фунтов на кв. дюйм)

      Фактическое давление в шине
      • Если отображается значение N/A, данные не были получены.*1

      • *2


      Chassis > Tire Pressure Monitor > Data List
      Информация на дисплее прибора
      ID 1 Tire Inflation Pressure
      ID 2 Tire Inflation Pressure
      ID 3 Tire Inflation Pressure
      ID 4 Tire Inflation Pressure
      ID 5 Tire Inflation Pressure

      Tech Tips


      • *1: Значения могут отображаться лишь спустя несколько минут.

      • *2: для моделей с полноразмерным запасным колесом

      • Если значение параметра "ID Tire Inflation Pressure" не изменяется, отрегулируйте давление воздуха в шинах, чтобы оно соответствовало номинальному, и поверните шину на 90-270 градусов. Затем быстро сбросьте давление в шинах и повторно проверьте данные.

      Результат
      Результат Следующий шаг
      Все показания давления в шинах совпадают с номинальными значениями давления. А
      Значения давления в шинах не отображаются. B

    А
    B