СИСТЕМА ПРЕДУПРЕЖДЕНИЯ О НЕНАДЛЕЖАЩЕМ ДАВЛЕНИИ В ШИНАХ, Diagnostic DTC:C2126/26

Код DTC Наименование DTC
C2126/26 Идентификатор передатчика не принимается в основном режиме

ОПИСАНИЕ

После регистрации всех идентификаторов передатчиков в ЭБУ и приемнике системы предупреждения о ненадлежащем давлении в шинах регистрируется DTC C2126/26 и контрольная лампа предупреждения о ненадлежащем давлении в шинах мигает в течение 1 минуты, а затим горит постоянно.

Если ЭБУ и приемник системы предупреждения о ненадлежащем давлении в шинах успешно полчит радиосигналы от всех передатчиков, идентификаторы которых хранятся в памяти ЭБУ, DTC C2126/26 удаляется, а контрольная лампа предупреждения о ненадлежащем давлении в шинах выключается.

№ DTC Неисправность Условие обнаружения DTC Неисправный участок Примечание
C2126/26 Идентификатор передатчика не принимается в основном режиме После завершения регистрации идентификаторов передатчиков в ЭБУ не поступают радиосигналы от передатчиков, чьи идентификаторы хранятся в памяти ЭБУ.
  • Сбой регистрации идентификатора передатчика

  • Вентиль и передатчик системы предупреждения о ненадлежащем давлении в шинах

  • ЭБУ и приемник системы предупреждения о ненадлежащем давлении в шинах

-

Note

Для моделей с функцией переключения идентификаторов:

Значение (Main) отображается на экране DTC для кодов DTC, даже когда выбирается 2-й комплект шин.

Tech Tips

Данный DTC предназначен для предотвращения поставки автомобиля с неверно зарегистрированными идентификаторами передатчиков. После регистрации всех идентификаторов регистрируется DTC C2126/26 и контрольная лампа предупреждения о ненадлежащем давлении в шинах мигает в течение 1 минуты, а затем горит постоянно. Если контрольная лампа предупреждения о ненадлежащем давлении в шинах не погаснет через некоторое время, возможно, неверно зарегистрированы идентификаторы передатчиков.

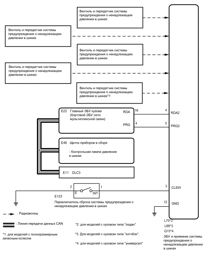
СХЕМА ЭЛЕКТРИЧЕСКИХ СОЕДИНЕНИЙ

A01M1K2E05

ПРЕДОСТЕРЕЖЕНИЕ / ПРИМЕЧАНИЕ / УКАЗАНИЕ

Note


  • В случае замены ЭБУ и приемника системы предупреждения о ненадлежащем давлении в шинах перед их снятием считайте значения идентификаторов передатчиков, сохраненные в ЭБУ, с помощью GTS и запишите их.

  • В случае замены ЭБУ и/или одного из вентилей с передатчиком необходимо выполнить инициализацию, предварительно зарегистрировав Click here идентификаторы передатчиков в ЭБУ с приемником системы предупреждения о ненадлежащем давлении в шинах.

ПОРЯДОК ВЫПОЛНЕНИЯ


  1. ВЫЯВИТЕ ПЕРЕДАТЧИК, ИДЕНТИФИКАТОР КОТОРОГО НЕ БЫЛ ПОЛУЧЕН


    1. Отрегулируйте давление, чтобы оно соответствовало номинальному значению.

      Нажмите здесь Click here

    2. Выключите зажигание.

    3. Подключите GTS к DLC3.

    4. Установите замок зажигания в положение ON (ВКЛ).

    5. Включите GTS.

    6. Войдите в следующие меню: Chassis / Tire Pressure Monitor / Data List.

    7. Выведите на экран значения параметра "ID Tire Inflation Pressure" для каждого колеса с помощью GTS.

    8. Быстро стравите давление в каждой шине примерно на 40 кПа (0,4 кгс/см2, 5,8 фунта кв. дюйм) или более в течение 30 с. Если значение параметра "ID Tire Inflation Pressure" на экране GTS не изменяется, соответствующие этому параметру вентиль и передатчик системы предупреждения о ненадлежащем давлении в шинах являются причиной вывода кода DTC.

      Tech Tips


      • Определите неисправный вентиль и передатчик системы предупреждения о ненадлежащем давлении в шинах, быстро стравив давление во всех шинах.

      • Запишите, какое значение "ID Tire Inflation Pressure" соответствует каждой шине.


      Chassis > Tire Pressure Monitor > Data List
      Информация на дисплее прибора Измеряемая величина Диапазон Нормальное состояние Замечание по диагностике
      ID 1 Tire Inflation Pressure Показание давления в шине ID1

      мин.: абсолютное давление (абс) / 0 кПа (0 кгс/см2, 0 фунтов на кв. дюйм), относительное давление (по манометру) / 0 кПа (0 кгс/см2, 0 фунтов на кв. дюйм)

      макс.: абсолютное давление (абс) / 480 кПа (4,9 кгс/см2, 70 фунтов на кв. дюйм), относительное давление (по манометру) / 380 кПа (3,9 кгс/см2, 55 фунтов на кв. дюйм)

      Фактическое давление в шине Если отображается значение N/A, данные не были получены.*1
      ID 2 Tire Inflation Pressure Показание давления в шине ID2

      мин.: абсолютное давление (абс) / 0 кПа (0 кгс/см2, 0 фунтов на кв. дюйм), относительное давление (по манометру) / 0 кПа (0 кгс/см2, 0 фунтов на кв. дюйм)

      макс.: абсолютное давление (абс) / 480 кПа (4,9 кгс/см2, 70 фунтов на кв. дюйм), относительное давление (по манометру) / 380 кПа (3,9 кгс/см2, 55 фунтов на кв. дюйм)

      Фактическое давление в шине Если отображается значение N/A, данные не были получены.*1
      ID 3 Tire Inflation Pressure Показание давления в шине ID3

      мин.: абсолютное давление (абс) / 0 кПа (0 кгс/см2, 0 фунтов на кв. дюйм), относительное давление (по манометру) / 0 кПа (0 кгс/см2, 0 фунтов на кв. дюйм)

      макс.: абсолютное давление (абс) / 480 кПа (4,9 кгс/см2, 70 фунтов на кв. дюйм), относительное давление (по манометру) / 380 кПа (3,9 кгс/см2, 55 фунтов на кв. дюйм)

      Фактическое давление в шине Если отображается значение N/A, данные не были получены.*1
      ID 4 Tire Inflation Pressure Показание давления в шине ID4

      мин.: абсолютное давление (абс) / 0 кПа (0 кгс/см2, 0 фунтов на кв. дюйм), относительное давление (по манометру) / 0 кПа (0 кгс/см2, 0 фунтов на кв. дюйм)

      макс.: абсолютное давление (абс) / 480 кПа (4,9 кгс/см2, 70 фунтов на кв. дюйм), относительное давление (по манометру) / 380 кПа (3,9 кгс/см2, 55 фунтов на кв. дюйм)

      Фактическое давление в шине Если отображается значение N/A, данные не были получены.*1
      ID 5 Tire Inflation Pressure Показание давления в шине ID5

      мин.: абсолютное давление (абс) / 0 кПа (0 кгс/см2, 0 фунтов на кв. дюйм), относительное давление (по манометру) / 0 кПа (0 кгс/см2, 0 фунтов на кв. дюйм)

      макс.: абсолютное давление (абс) / 480 кПа (4,9 кгс/см2, 70 фунтов на кв. дюйм), относительное давление (по манометру) / 380 кПа (3,9 кгс/см2, 55 фунтов на кв. дюйм)

      Фактическое давление в шине
      • Если отображается значение N/A, данные не были получены.*1

      • *2


      Chassis > Tire Pressure Monitor > Data List
      Информация на дисплее прибора
      ID 1 Tire Inflation Pressure
      ID 2 Tire Inflation Pressure
      ID 3 Tire Inflation Pressure
      ID 4 Tire Inflation Pressure
      ID 5 Tire Inflation Pressure

      Tech Tips


      • *1: Значения могут отображаться лишь спустя несколько минут.

      • *2: для моделей с полноразмерным запасным колесом

    9. Проверьте данные в режиме Data List.

      Note


      • Значения могут отображаться лишь спустя несколько минут.

      • Если значение параметра "ID Tire Inflation Pressure" не изменяется, отрегулируйте давление воздуха в шинах, чтобы оно соответствовало номинальному, и поверните шину на 90-270 градусов. Затем быстро сбросьте давление в шинах и повторно проверьте данные.

      • Запишите идентификаторы передатчиков и положение передатчиков, соответствующее нормальному состоянию.

    10. Убедившись, что значение параметра "ID Tire Inflation Pressure" для одной из шин изменилось, повторите эту процедуру отдельно для каждой из шин. Определите передатчик, соответствующий коду DTC.

      Результат
      Результат Перейти к
      Неисправен один или несколько передатчиков А
      Все передатчики исправны B

    B
    А
  2. ПРОВЕРЬТЕ ИДЕНТИФИКАТОР ПЕРЕДАТЧИКА


    1. Выключите зажигание.

    2. Подключите GTS к DLC3.

    3. Установите замок зажигания в положение ON (ВКЛ).

    4. Включите GTS.

    5. Войдите в следующие меню: Chassis / Tire Pressure Monitor / Data List.

    6. Проверьте значения в соответствии с таблицей ниже.


      Chassis > Tire Pressure Monitor > Data List
      Информация на дисплее прибора Измеряемая величина Диапазон Нормальное состояние Замечание по диагностике
      Registered ID 1 Code Зарегистрированный код ID1

      мин.: 0

      макс.: FFFFFFF*1

      Отображается зарегистрированный ID1 передатчика -
      Registered ID 2 Code Зарегистрированный код ID2

      мин.: 0

      макс.: FFFFFFF*1

      Отображается зарегистрированный ID2 передатчика -
      Registered ID 3 Code Зарегистрированный код ID3

      мин.: 0

      макс.: FFFFFFF*1

      Отображается зарегистрированный ID3 передатчика -
      Registered ID 4 Code Зарегистрированный код ID4

      мин.: 0

      макс.: FFFFFFF*1

      Отображается зарегистрированный ID4 передатчика -
      Registered ID 5 Code Зарегистрированный код ID5

      мин.: 0

      макс.: FFFFFFF*1

      Отображается зарегистрированный ID5 передатчика *2

      Chassis > Tire Pressure Monitor > Data List
      Информация на дисплее прибора
      Registered ID 1 Code
      Registered ID 2 Code
      Registered ID 3 Code
      Registered ID 4 Code
      Registered ID 5 Code

      Tech Tips


      • *1: Отображается, только если идентификационный код не зарегистрирован.

      • *2: для моделей с полноразмерным запасным колесом

    7. Проверьте идентификационный код на определенном передатчике, сняв его с шины и колеса.

      A01LWFLC13
      *1 Вентиль и передатчик системы предупреждения о ненадлежащем давлении в шинах *2 Идентификатор передатчика (7-значный номер)
    8. Убедитесь, что идентификационный код на передатчике и записанный идентификатор передатчика совпадают.

      Результат
      Результат Следующий шаг
      Совпадает А
      Не совпадает B

    B
    А
  3. ЗАМЕНИТЕ ВЕНТИЛЬ И ПЕРЕДАТЧИК СИСТЕМЫ ПРЕДУПРЕЖДЕНИЯ О НЕНАДЛЕЖАЩЕМ ДАВЛЕНИИ В ШИНАХ


    1. Замените вентиль и передатчик системы предупреждения о ненадлежащем давлении в шинах.

      Нажмите здесь Click here

      Результат
      Следующий шаг
      ДАЛЕЕ

    ДАЛЕЕ
  4. РЕГИСТРАЦИЯ ИДЕНТИФИКАТОРА ПЕРЕДАТЧИКА


    1. Выполните регистрацию.

      Нажмите здесь Click here

      Результат
      Перейти К
      ДАЛЕЕ

    ДАЛЕЕ
  5. ВЫПОЛНИТЕ ИНИЦИАЛИЗАЦИЮ


    1. Выполните инициализацию электронной системы.

      Нажмите здесь Click here

      Результат
      Следующий шаг
      ДАЛЕЕ

    ДАЛЕЕ
  6. ПРОВЕРЬТЕ ДАВЛЕНИЕ В ШИНАХ (DATA LIST)


    1. Выключите зажигание.

    2. Подсоедините GTS к разъему DLC3.

    3. Установите замок зажигания в положение ON (ВКЛ).

    4. Включите GTS.

    5. Войдите в следующие меню: Chassis / Tire Pressure Monitor / Data List.

    6. Проверьте значения в соответствии с таблицей ниже.


      Chassis > Tire Pressure Monitor > Data List
      Информация на дисплее прибора Измеряемая величина Диапазон Нормальное состояние Замечание по диагностике
      ID 1 Tire Inflation Pressure Показание давления в шине ID1

      мин.: абсолютное давление (абс) / 0 кПа (0 кгс/см2, 0 фунтов на кв. дюйм), относительное давление (по манометру) / 0 кПа (0 кгс/см2, 0 фунтов на кв. дюйм)

      макс.: абсолютное давление (абс) / 480 кПа (4,9 кгс/см2, 70 фунтов на кв. дюйм), относительное давление (по манометру) / 380 кПа (3,9 кгс/см2, 55 фунтов на кв. дюйм)

      Фактическое давление в шине Если отображается значение N/A, данные не были получены.*1
      ID 2 Tire Inflation Pressure Показание давления в шине ID2

      мин.: абсолютное давление (абс) / 0 кПа (0 кгс/см2, 0 фунтов на кв. дюйм), относительное давление (по манометру) / 0 кПа (0 кгс/см2, 0 фунтов на кв. дюйм)

      макс.: абсолютное давление (абс) / 480 кПа (4,9 кгс/см2, 70 фунтов на кв. дюйм), относительное давление (по манометру) / 380 кПа (3,9 кгс/см2, 55 фунтов на кв. дюйм)

      Фактическое давление в шине Если отображается значение N/A, данные не были получены.*1
      ID 3 Tire Inflation Pressure Показание давления в шине ID3

      мин.: абсолютное давление (абс) / 0 кПа (0 кгс/см2, 0 фунтов на кв. дюйм), относительное давление (по манометру) / 0 кПа (0 кгс/см2, 0 фунтов на кв. дюйм)

      макс.: абсолютное давление (абс) / 480 кПа (4,9 кгс/см2, 70 фунтов на кв. дюйм), относительное давление (по манометру) / 380 кПа (3,9 кгс/см2, 55 фунтов на кв. дюйм)

      Фактическое давление в шине Если отображается значение N/A, данные не были получены.*1
      ID 4 Tire Inflation Pressure Показание давления в шине ID4

      мин.: абсолютное давление (абс) / 0 кПа (0 кгс/см2, 0 фунтов на кв. дюйм), относительное давление (по манометру) / 0 кПа (0 кгс/см2, 0 фунтов на кв. дюйм)

      макс.: абсолютное давление (абс) / 480 кПа (4,9 кгс/см2, 70 фунтов на кв. дюйм), относительное давление (по манометру) / 380 кПа (3,9 кгс/см2, 55 фунтов на кв. дюйм)

      Фактическое давление в шине Если отображается значение N/A, данные не были получены.*1
      ID 5 Tire Inflation Pressure Показание давления в шине ID5

      мин.: абсолютное давление (абс) / 0 кПа (0 кгс/см2, 0 фунтов на кв. дюйм), относительное давление (по манометру) / 0 кПа (0 кгс/см2, 0 фунтов на кв. дюйм)

      макс.: абсолютное давление (абс) / 480 кПа (4,9 кгс/см2, 70 фунтов на кв. дюйм), относительное давление (по манометру) / 380 кПа (3,9 кгс/см2, 55 фунтов на кв. дюйм)

      Фактическое давление в шине
      • Если отображается значение N/A, данные не были получены.*1

      • *2


      Chassis > Tire Pressure Monitor > Data List
      Информация на дисплее прибора
      ID 1 Tire Inflation Pressure
      ID 2 Tire Inflation Pressure
      ID 3 Tire Inflation Pressure
      ID 4 Tire Inflation Pressure
      ID 5 Tire Inflation Pressure

      Tech Tips


      • *1: Значения могут отображаться лишь спустя несколько минут.

      • *2: для моделей с полноразмерным запасным колесом

      • Если значение параметра "ID Tire Inflation Pressure" не изменяется, отрегулируйте давление воздуха в шинах, чтобы оно соответствовало номинальному, и поверните шину на 90-270 градусов. Затем быстро сбросьте давление в шинах и повторно проверьте данные.

      Результат
      Результат Следующий шаг
      Значения давления в шинах не отображаются. А
      Все показания давления в шинах совпадают с номинальными значениями давления. B

    А
    B