ЖИДКОСТЬ БЕССТУПЕНЧАТОЙ ТРАНСМИССИИ РЕГУЛИРОВКА

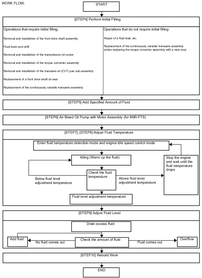
PROCEDURE


  1. PRECAUTIONS AND WORK DESCRIPTION


    1. The K313 continuously variable transaxle assembly does not have an oil filler tube or oil level gauge. When adding fluid, add fluid through the refill hole in the continuously variable transaxle assembly. The fluid level can be adjusted by draining excess fluid (allowing excess fluid to overflow) through the No. 1 transmission oil filler tube of the transaxle oil (CVT) pan sub-assembly.

      Tech Tips

      "Overflow" indicates the condition under which fluid comes out of the overflow plug hole.

    2. When adding fluid, add the specified amount of fluid while the engine assembly is cold. Then, warm up the engine assembly to circulate the fluid in the continuously variable transaxle assembly and adjust the fluid level with the engine idling at the specified fluid temperature.

    3. The K313 continuously variable transaxle assembly requires Toyota Genuine CVT Fluid FE.

    4. When adjusting the fluid level, park the vehicle on level ground (make sure that the tilt angle from the front to rear of the vehicle is within +/-1°).

    5. When adjusting the fluid level, turn off all electrical systems, such as the air conditioning, lighting system, electric fan and audio system, to reduce load.

    6. The fluid temperature in the text indicates "A/T Oil Temperature 1" displayed on the GTS.

    7. Fluid level adjustment should be performed according to the following procedure and notes.

      B00452VE16
  2. WORK FLOW


    1. The adjustment should be performed according to the procedures referenced in the work flow below.

      B0042PJC01
  3. PREPARATION WORK

    Note

    If the continuously variable transaxle assembly is hot (fluid temperature is high), wait until the fluid temperature becomes the same as the ambient temperature before starting the following procedure (recommended fluid temperature: approximately 20°C (68°F)).


    1. Lift the vehicle.

      Note

      Set the vehicle on a lift so that the vehicle is kept level when it is lifted up (make sure that the tilt angle from the front to rear of the vehicle is within +/-1°).

    2. Remove the No. 1 engine under cover. (for Metal Type)

      Click here

    3. Remove the rear engine under cover LH.


  4. PERFORM INITIAL FILLING

    Note

    After performing either of the following operations, it is not necessary to perform the initial filling procedure. Proceed to Add Specified Amount of Fluid (Step 5).

    Operations that do not Require Initial Filling

    • Repair of a fluid leak, etc.

    • Installation of a new continuously variable transaxle assembly (with new torque converter assembly).


    1. B00451O

      Remove the refill plug and gasket from the rear transaxle case.

    2. B0044N1

      Using a 6 mm hexagon socket wrench, remove the overflow plug and gasket from the transaxle oil (CVT) pan sub-assembly.

      Note


      • If fluid comes out after removing the overflow plug, wait until the fluid flow slows and only drips come out.

      • If fluid comes out, it is not necessary to perform the initial filling procedure. After checking the tightening torque of the No. 1 transmission oil filler tube, temporarily install the overflow plug.

    3. B0042CYC01
      *1 No. 1 Transmission Oil Filler Tube

      Using a 6 mm hexagon socket wrench, check that the No. 1 transmission oil filler tube is tightened to the specified torque.

      Torque:
      1.7 N*m  { 17 kgf*cm, 15 in.*lbf }

      Note

      If the No. 1 transmission oil filler tube is not tightened to the specified torque, the amount of fluid cannot be precisely adjusted.

      Tech Tips

      To check the torque of the No. 1 transmission oil filler tube, insert a 6 mm hexagon socket wrench into the overflow plug hole.

    4. Perform initial filling.


      1. B0042KS

        Add fluid to the refill hole until it flows out of the overflow plug hole.

        Note

        Use Toyota Genuine CVT Fluid FE.

    5. B0041TZ

      Wait until the fluid flow slows and only drips come out.

    6. Using a 6 mm hexagon socket wrench, temporarily install the gasket and overflow plug to the transaxle oil (CVT) pan sub-assembly.

      Tech Tips

      Reuse the old gasket as the overflow plug will be removed again to adjust the fluid level.

    7. B00451O

      Temporarily install the gasket and refill plug to the rear transaxle case.

      Tech Tips

      Reuse the old gasket as the refill plug will be removed again to adjust the fluid level.

  5. ADD SPECIFIED AMOUNT OF FLUID


    1. B00451O

      Remove the refill plug and gasket from the rear transaxle case (when initial filling was not performed).

    2. B0041X5

      Fill fluid into the refill hole with the correct amount of fluid as listed in the table below.

      Note


      • Use Toyota Genuine CVT Fluid FE.

      • The refill amount differs depending on the operation that was performed.

      Standard Capacity
      Operation Performed Fill Amount
      Installation of the continuously variable transaxle assembly with torque converter assembly 3.2 liters (3.4 US qts, 2.8 Imp. qts)
      Replacement of the continuously variable transaxle assembly (when replacing the torque converter assembly with a new one) 3.0 liters (3.2 US qts, 2.6 Imp. qts)
      Replacement of the torque converter assembly 2.7 liters (2.9 US qts, 2.4 Imp. qts)
      Replacement of the continuously variable transaxle assembly (when reusing the torque converter assembly)
      Removal and installation of the torque converter assembly 2.3 liters (2.4 US qts, 2.0 Imp. qts)
      Removal and installation of the front drive shaft assembly 1.2 liters (1.3 US qts, 1.1 Imp. qts)
      Fluid drain and refill
      Removal and installation of the transmission oil cooler
      Removal and installation of the transaxle oil (CVT) pan sub-assembly
      Replacement of the front drive shaft oil seal
      Repair of a fluid leak, etc. 0.4 liters (0.4 US qts, 0.4 Imp. qts)
    3. B00451O

      Temporarily install the gasket and refill plug to the rear transaxle case to avoid fluid spillage.

      Tech Tips

      Reuse the old gasket as the refill plug will be removed again to adjust the fluid level.

    4. Lower the vehicle.

  6. AIR BLEED OIL PUMP WITH MOTOR ASSEMBLY (for 8NR-FTS)

    Click here

  7. ADJUST FLUID TEMPERATURE (when Using the GTS)


    1. Connect the GTS to the DLC3 with the ignition switch off.

    2. Turn the ignition switch to ON and turn the GTS on.

      Note

      To reduce load, make sure that all electrical systems, such as the air conditioning, lighting system, electric fans and audio system, are off.

    3. Enter the following menus: Powertrain / Engine and ECT / Active Test / Connect the TC and TE1.


      Powertrain > Engine and ECT > Active Test
      Active Test Display
      Connect the TC and TE1
      Data List Display
      A/T Oil Temperature 1
    4. According to the display on the GTS, perform the Active Test "Connect the TC and TE1 / ON".

      Tech Tips

      The indicator lights on the combination meter blink to indicate that a DTC has been stored when the Active Test "Connect the TC and TE1 / ON" is performed.

    5. Select the Data List item: A/T Oil Temperature 1.

    6. Depress and hold the brake pedal.

    7. Start the engine.

      Note

      To reduce load, make sure that all electrical systems, such as the air conditioning, lighting system, electric fan and audio system, are off.

    8. Slowly move the shift lever from P to D, and then back to P (keep the shift lever in each position for approximately 3 seconds).

      Tech Tips

      Slowly move the shift lever to circulate the fluid through each part of the continuously variable transaxle assembly.

    9. While observing the D shift indicator on the combination meter, move the shift lever back and forth between N and D at an interval of less than 1.5 seconds for 6 seconds or more.

      B0044PFC01
      *A for TMMT Made *B for TMUK Made
      *a Shift Position *b Indication of Shift Position
      *c Fluid Temperature Detection Mode *d 6 sec. or more
      *e 2 sec. *f Less than 1.5 sec.

      Note

      Do not pause for 1.5 seconds or more.

      Tech Tips

      Performing this operation will cause the vehicle to enter fluid temperature detection mode.

    10. B0043EVC01
      *A for Multi-information Display (Segment LCD Type)
      *B for Multi-information Display (Color Type)

      Check that the D shift indicator comes on for 2 seconds.

      Tech Tips


      • When fluid temperature detection mode is activated, the D shift indicator on the combination meter comes on for 2 seconds.

      • If the D shift indicator does not come on for 2 seconds, return to the first step (perform the Active Test "Connect the TC and TE1 / ON") and perform the procedure again.

    11. Move the shift lever to P.

    12. Release the brake pedal.

    13. According to the display on the GTS, perform the Active Test "Connect the TC and TE1 / OFF".

      Note

      Make sure that terminals are not connected. If the terminals are connected, the fluid level cannot be precisely adjusted due to fluctuations in engine speed.

      Tech Tips


      • Disconnecting the terminals activates engine idle speed control mode.

      • In engine idle speed control mode, engine idle speed control starts when the fluid temperature reaches the specified temperature and the engine speed is maintained.

      • Even after the terminals are disconnected, fluid temperature detection mode is active until the ignition switch is turned off.

    14. Adjust the fluid temperature to the fluid level adjustment temperature.


      1. Check the fluid temperature by monitoring the D shift indicator.

        Relationship between Fluid Level Adjustment Temperature and the D Shift Indicator
        Below Fluid Level Adjustment Temperature Fluid Level Adjustment Temperature Above Fluid Level Adjustment Temperature
        Fluid Temperature ("A/T Oil Temperature 1" displayed on the GTS) 35°C (95°F) or less 35 to 45°C (95 to 113°F) 45°C (113°F) or more
        D Shift Indicator Off On Blinks

        Tech Tips


        • In fluid temperature detection mode, the D shift indicator comes on, goes off, or blinks depending on the fluid temperature.

        • The fluid filling procedure should be performed when the D shift indicator is on (the fluid temperature is within the fluid level adjustment temperature range).

      2. If the D shift indicator is on, immediately proceed to Adjust Fluid Level (Step 9).

  8. ADJUST FLUID TEMPERATURE (when Not Using the GTS)


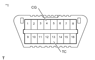
    1. B0044MTC33
      *1 DLC3

      Using SST, connect terminals 13 (TC) and 4 (CG) of the DLC3 with the ignition switch off.

      SST
      09843-18040
    2. Depress and hold the brake pedal.

    3. Start the engine.

      Note

      To reduce load, make sure that all electrical systems, such as the air conditioning, lighting system, electric fan and audio system, are off.

    4. Slowly move the shift lever from P to D, and then back to P (keep the shift lever in each position for approximately 3 seconds).

      Tech Tips

      Slowly move the shift lever to circulate the fluid through each part of the continuously variable transaxle assembly.

    5. While observing the D shift indicator on the combination meter, move the shift lever back and forth between N and D at an interval of less than 1.5 seconds for 6 seconds or more.

      B0044PFC01
      *A for TMMT Made *B for TMUK Made
      *a Shift Position *b Indication of Shift Position
      *c Fluid Temperature Detection Mode *d 6 sec. or more
      *e 2 sec. *f Less than 1.5 sec.

      Note

      Do not pause for 1.5 seconds or more.

      Tech Tips

      Performing this operation will cause the vehicle to enter fluid temperature detection mode.

    6. B0043EVC01
      *A for Multi-information Display (Segment LCD Type)
      *B for Multi-information Display (Color Type)

      Check that the D shift indicator comes on for 2 seconds.

      Tech Tips


      • When fluid temperature detection mode is activated, the D shift indicator on the combination meter comes on for 2 seconds.

      • If the D shift indicator does not come on for 2 seconds, return to the first step (connect terminals 13 (TC) and 4 (CG) of the DLC3) and perform the procedure again.

    7. Move the shift lever to P.

    8. Release the brake pedal.

    9. Remove SST from terminals 13 (TC) and 4 (CG).

      Note

      Make sure that the terminals are not connected. If the terminals are connected, the fluid level cannot be precisely adjusted due to fluctuations in engine speed.

      Tech Tips


      • Disconnecting the terminals activates engine idle speed control mode.

      • In engine idle speed control mode, engine idle speed control starts when the fluid temperature reaches the specified temperature and the engine speed is maintained.

      • Even after the terminals are disconnected, fluid temperature detection mode is active until the ignition switch is turned off.

    10. Adjust the fluid temperature to the fluid level adjustment temperature.


      1. Check the fluid temperature by monitoring the D shift indicator.

        Relationship between Fluid Level Adjustment Temperature and the D Shift Indicator
        Below Fluid Level Adjustment Temperature Fluid Level Adjustment Temperature Above Fluid Level Adjustment Temperature
        Fluid Temperature 35°C (95°F) or less 35 to 45°C (95 to 113°F) 45°C (113°F) or more
        D Shift Indicator Off On Blinks

        Tech Tips


        • In fluid temperature detection mode, the D shift indicator comes on, goes off, or blinks depending on the fluid temperature.

        • The fluid filling procedure should be performed when the D shift indicator is on (the fluid temperature is within the fluid level adjustment temperature range).

      2. If the D shift indicator is on, immediately proceed to Adjust Fluid Level (Step 9).

  9. ADJUST FLUID LEVEL

    CAUTION:

    Use caution while the engine assembly is idling and the radiator fan is operating.


    1. Lift the vehicle.

      Note

      Set the vehicle on a lift so that the vehicle is kept level when it is lifted up (make sure that the tilt angle from the front to rear of the vehicle is within +/-1°).

    2. B0044N1

      Using a 6 mm hexagon socket wrench, remove the overflow plug and gasket from the transaxle oil (CVT) pan sub-assembly.

      CAUTION:

      Be careful as the fluid coming out of the overflow plug hole is hot.

    3. Check the amount of fluid that comes out of the overflow plug hole.


      • If the amount of fluid that comes out of the overflow plug hole is large, proceed to step [*1].

      • If no fluid comes out of the overflow plug hole, proceed to step [*2].

      Note

      If only a small amount of fluid (approximately 5 cc) comes out of the overflow plug hole, then only fluid remaining in the No. 1 transmission oil filler tube has come out. This is not considered to be overflow.

    4. B00442J

      If the amount of fluid that comes out of the overflow plug hole is large. [*1]


      1. Wait until the fluid flow slows and only drips come out.

        Tech Tips

        The fluid flow will not stop completely because the fluid continues to expand as its temperature increases.

    5. If no fluid comes out of the overflow plug hole. [*2]


      1. B00451O

        Remove the refill plug and gasket from the rear transaxle case.

      2. B0042KS

        Then add fluid through the refill hole until fluid comes out of the over flow plug hole.

        Note

        Use Toyota Genuine CVT Fluid FE.

      3. B00442J

        Wait until the fluid flow slows and only drips come out.

        Tech Tips

        The fluid flow will not stop completely because the fluid continues to expand as its temperature increases.

    6. B0044N1

      Using a 6 mm hexagon socket wrench, install a new gasket and the overflow plug to the transaxle oil (CVT) pan sub-assembly.

      Torque:
      40 N*m  { 408 kgf*cm, 30 ft.*lbf }
    7. B00451O

      Install a new gasket and the refill plug to the rear transaxle case.

      Torque:
      49 N*m  { 500 kgf*cm, 36 ft.*lbf }
    8. Lower the vehicle.

    9. Turn the ignition switch off.

      Tech Tips

      Turning the ignition switch off exits fluid temperature detection mode.

    10. Remove the GTS from the DLC3 (when using the GTS).

  10. REBUILD WORK


    1. Lift the vehicle.

    2. Clean each part.

    3. Check for fluid leaks.

    4. Install the rear engine under cover LH.


    5. Install the No. 1 engine under cover. (for Metal Type)

      Click here

    6. Lower the vehicle.