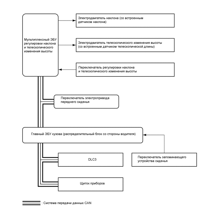
СИСТЕМА НАКЛОННОЙ ТЕЛЕСКОПИЧЕСКОЙ РУЛЕВОЙ КОЛОНКИ С ЭЛЕКТРОПРИВОДОМ СХЕМА СИСТЕМЫ

A01XKHIE04
Таблица обмена данными
Передатчик Приемник Сигнал Линия
Главный ЭБУ кузова Мультиплексный ЭБУ регулировки наклона и телескопического изменения высоты
  • Сигнал выключателя зажигания

  • Команда обращения к памяти для запоминающего устройства 1 сиденья водителя

  • Команда обращения к памяти для запоминающего устройства 2 сиденья водителя

  • Команда воспроизведения для запоминающего устройства 1 сиденья водителя

  • Команда воспроизведения для запоминающего устройства 2 сиденья водителя

  • Сигнал запроса автоматического отвода/возврата

CAN
Мультиплексный ЭБУ регулировки наклона и телескопического изменения высоты Переключатель электропривода переднего сиденья
  • Сигнал работы механизма регулировки наклона и телескопического изменения высоты

  • Сигнал завершения работы механизма регулировки наклона и телескопического изменения высоты

CAN
Переключатель электропривода переднего сиденья Мультиплексный ЭБУ регулировки наклона и телескопического изменения высоты
  • Сигнал запуска воспроизведения для механизма регулировки наклона и телескопического изменения высоты

  • Сигнал останова воспроизведения для механизма регулировки наклона и телескопического изменения высоты

  • Сигнал автоматического отвода/возврата во время воспроизведения

CAN
ЭБУ щитка приборов Мультиплексный ЭБУ регулировки наклона и телескопического изменения высоты Сигнал скорости автомобиля CAN
Переключатель регулировки наклона и телескопического изменения высоты Мультиплексный ЭБУ регулировки наклона и телескопического изменения высоты Сигнал переключателя регулировки наклона и телескопического изменения высоты Последовательная линия передачи данных