СИСТЕМА ИЗМЕРИТЕЛЬНЫХ ПРИБОРОВ И ИНДИКАТОРОВ СХЕМА СИСТЕМЫ

A01X67EE02
A01WZZ4E01
Таблица обмена данными (для моделей без мультиинформационного дисплея)
Передатчик Приемник Сигнал передачи данных Линия передачи данных
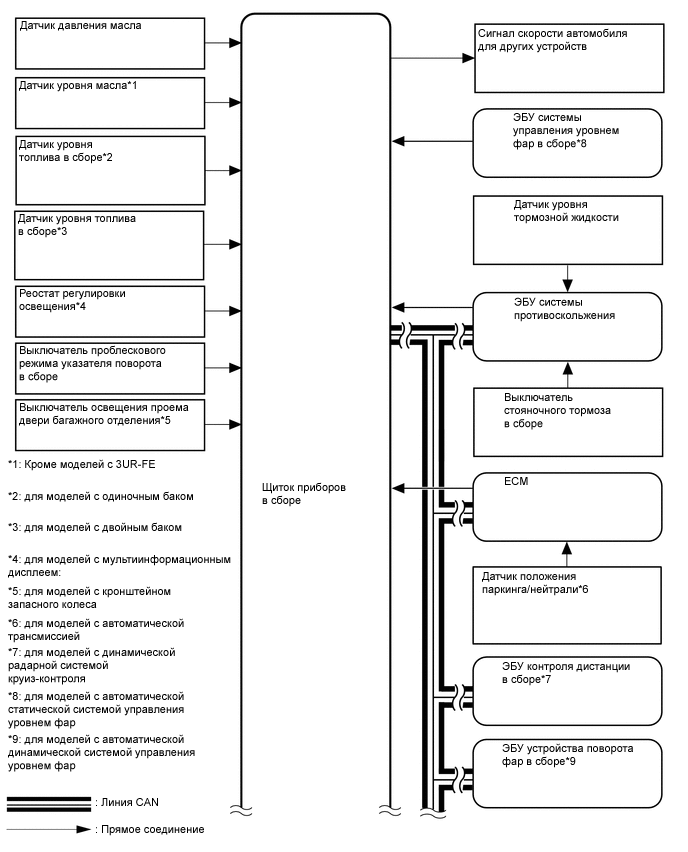
Щиток приборов в сборе
  • ECM

  • Главный ЭБУ кузова

Сигнал скорости автомобиля Прямое соединение
Главный ЭБУ кузова Сигнал включения реостата CAN
ECM

Сигнал технических характеристик автомобиля

(рынок сбыта/код обслуживания)

Многофункциональный дисплей*1 Сигнал контрольной лампы предупреждения о непристегнутом ремне безопасности переднего пассажира CAN
Часы*2 Прямое соединение
ECM Щиток приборов в сборе
  • Сигнал индикатора круиз-контроля*10

  • Сигнал температуры охлаждающей жидкости

  • Информационный сигнал о впрыске топлива*3

  • Данные о частоте вращения коленчатого вала двигателя*3

  • Сигнал контрольной лампы CHARGE

  • Сигнал контрольной лампы SET*10

CAN
Сигнал контрольной лампы MIL Прямое соединение
Центральный блок управления системы SRS Щиток приборов в сборе
  • Сигнал выключателя пряжки ремня безопасности переднего пассажира

  • Сигнал контрольной лампы SRS

  • Сигнал диагностики

CAN
Сигнал контрольной лампы RSCA OFF*4 Прямое соединение
ЭБУ полного привода Щиток приборов в сборе
  • Сигнал контрольной лампы A/T P*5

  • Сигнал контрольной лампы 4LO

  • Сигнал контрольной лампы блокировки межосевого дифференциала

  • Сигнал контрольной лампы аварийного состояния блокировки заднего дифференциала

CAN
ЭБУ системы противоскольжения Щиток приборов в сборе
  • Сигнал контрольной лампы ABS

  • Сигнал контрольной лампы VSC OFF*6

  • Сигнал контрольной лампы скольжения SLIP*6

  • Сигнал скорости автомобиля

  • Сигнал контрольной лампы состояния тормозной системы

  • Сигнал контрольной лампы CRAWL*6

  • Сигнал контрольной лампы ограничителя скорости

  • Сигнал контрольной лампы TRC OFF*6

  • Сигнал контрольной лампы помощи при повороте*6

  • Сигнал контрольной лампы выбора типа местности*9

CAN
Главный ЭБУ кузова (распределительный блок с левой стороны кожуха) Щиток приборов в сборе
  • Сигнал выключателя пряжки ремня безопасности сиденья водителя

  • Сигнал выключателя освещения дверного проема

  • Сигнал контрольной лампы BEAM

  • Сигнал контрольной лампы FRONT FOG

  • Сигнал контрольной лампы REAR FOG*7

  • Сигнал аварийного состояния DOOR

CAN
ECM*5 Щиток приборов в сборе
  • Сигнал контрольной лампы ECT PWR

  • Сигнал поворота педали акселератора

  • Сигнал температуры ATF

  • Сигнал текущего положения передачи

  • Сигнал положения P рычага переключения передач

  • Сигнал положения R рычага переключения передач

  • Сигнал положения N рычага переключения передач

  • Сигнал положения D рычага переключения передач

  • Сигнал положения 6 рычага переключения передач*8

  • Сигнал положения 5 рычага переключения передач

  • Сигнал положения 4 рычага переключения передач

  • Сигнал положения 3 рычага переключения передач

  • Сигнал положения 2 рычага переключения передач

  • Сигнал положения 1 рычага переключения передач

  • Сигнал включения спортивного режима

  • Сигнал положения рычага переключения передач

  • Сигнал зуммера отклонения спортивного режима переключения передач

  • Сигнал индикатора ECT SNOW

CAN
ЭБУ сертификации*11 Щиток приборов в сборе Сигнал контрольной лампы ключа CAN
Переключатель на рулевом колесе Щиток приборов в сборе Сигнал работы выключателей на рулевом колесе Прямое соединение
Датчик уровня топлива Щиток приборов в сборе Сигнал уровня топлива Прямое соединение
Выключатель проблескового режима указателя поворота в сборе Щиток приборов в сборе Сигнал контрольной лампы левого/правого указателя поворота Прямое соединение
Датчик уровня жидкости стеклоомывателя Щиток приборов в сборе Сигнал стеклоомывателя Прямое соединение
Датчик уровня тормозной жидкости Щиток приборов в сборе Сигнал контрольной лампы уровня тормозной жидкости CAN
Датчик уровня масла Щиток приборов в сборе Сигнал уровня моторного масла Прямое соединение
Реостат регулировки освещения Щиток приборов в сборе Сигнал подсветки Прямое соединение
Генератор Щиток приборов в сборе Сигнал контрольной лампы CHARGE Прямое соединение
Датчик давления масла Щиток приборов в сборе Сигнал давления масла Прямое соединение

Таблица обмена данными (для моделей с мультиинформационным дисплеем)
Передатчик Приемник Сигнал передачи данных Линия передачи данных
Щиток приборов в сборе
  • ECM

  • Главный ЭБУ кузова

Сигнал скорости автомобиля Прямое соединение
Главный ЭБУ кузова Сигнал включения реостата CAN
ECM

Сигнал технических характеристик автомобиля

(рынок сбыта/код обслуживания)

Многофункциональный дисплей*1 Сигнал контрольной лампы предупреждения о непристегнутом ремне безопасности переднего пассажира CAN
Часы*2 Прямое соединение
ECM Щиток приборов в сборе
  • Сигнал индикатора круиз-контроля*17

  • Сигнал температуры охлаждающей жидкости

  • Информационный сигнал о впрыске топлива*9

  • Данные о частоте вращения коленчатого вала двигателя*9

  • Сигнал контрольной лампы CHARGE

  • Сигнал индикатора радарной системы круиз-контроля*3

  • Сигнал контрольной лампы SET*17

  • Сигнал поворота педали акселератора

CAN
Сигнал контрольной лампы MIL Прямое соединение
Центральный блок управления системы SRS Щиток приборов в сборе
  • Сигнал выключателя пряжки ремня безопасности сиденья пассажира

  • Сигнал контрольной лампы SRS

  • Сигнал диагностики

CAN
Сигнал контрольной лампы RSCA OFF*4 Прямое соединение
ЭБУ полного привода Щиток приборов в сборе
  • Сигнал контрольной лампы A/T P

  • Сигнал контрольной лампы 4LO

  • Сигнал контрольной лампы блокировки межосевого дифференциала

  • Сигнал контрольной лампы аварийного состояния блокировки заднего дифференциала*5

CAN
ЭБУ системы противоскольжения Щиток приборов в сборе
  • Сигнал контрольной лампы ABS

  • Сигнал контрольной лампы SLIP

  • Сигнал скорости автомобиля

  • Сигнал контрольной лампы состояния тормозной системы

  • Сигнал контрольной лампы CRAWL

  • Сигнал контрольной лампы ограничителя скорости

  • Сигнал контрольной лампы VSC OFF

  • Сигнал контрольной лампы помощи при повороте

  • Сигнал индикатора выбора типа местности*16

CAN
Главный ЭБУ кузова (распределительный блок с левой стороны кожуха) Щиток приборов в сборе
  • Сигнал выключателя пряжки ремня безопасности сиденья водителя

  • Сигнал выключателя освещения дверного проема

  • Сигнал контрольной лампы BEAM

  • Сигнал контрольной лампы FRONT FOG

  • Сигнал контрольной лампы REAR FOG*6

  • Сигнал контрольной лампы TAIL

  • Сигнал аварийного состояния DOOR

  • Сигнал контрольной лампы автоматического включения дальнего света*18

CAN
ЭБУ ремней безопасности Щиток приборов в сборе Сигнал индикатора PCS*7 CAN
ECM Щиток приборов в сборе
  • Сигнал контрольной лампы ECT PWR

  • Сигнал температуры ATF

  • Сигнал текущего положения передачи

  • Сигнал положения P рычага переключения передач

  • Сигнал положения R рычага переключения передач

  • Сигнал положения N рычага переключения передач

  • Сигнал положения D рычага переключения передач

  • Сигнал положения 6 рычага переключения передач*8

  • Сигнал положения 5 рычага переключения передач

  • Сигнал положения 4 рычага переключения передач

  • Сигнал положения 3 рычага переключения передач

  • Сигнал положения 2 рычага переключения передач

  • Сигнал положения 1 рычага переключения передач

  • Сигнал включения спортивного режима

  • Сигнал положения рычага переключения передач

  • Сигнал зуммера отклонения спортивного режима переключения передач

  • Сигнал индикатора ECT SNOW

CAN
ЭБУ рулевого управления с усилителем Щиток приборов в сборе Сигнал аварийной лампы состояния усилителя рулевого управления CAN
ЭБУ контроля дистанции*3 Щиток приборов в сборе Сигнал индикатора радарной системы круиз-контроля CAN
ЭБУ системы управления уровнем фар в сборе*11 Щиток приборов в сборе Сигнал контрольной лампы системы управления уровнем фар Прямое соединение
ЭБУ устройства поворота фар в сборе*12 Щиток приборов в сборе Сигнал контрольной лампы системы управления уровнем фар CAN
Переключатель на рулевом колесе Щиток приборов в сборе Сигнал работы выключателей на рулевом колесе Прямое соединение
Датчик уровня топлива Щиток приборов в сборе Сигнал уровня топлива Прямое соединение
Выключатель проблескового режима указателя поворота в сборе Щиток приборов в сборе Сигнал контрольной лампы левого/правого указателя поворота Прямое соединение
Датчик уровня жидкости стеклоомывателя Щиток приборов в сборе Сигнал стеклоомывателя Прямое соединение
Датчик уровня тормозной жидкости Щиток приборов в сборе Сигнал контрольной лампы уровня тормозной жидкости CAN
Датчик уровня масла*10 Щиток приборов в сборе Сигнал уровня моторного масла Прямое соединение
Реостат регулировки освещения Щиток приборов в сборе Сигнал подсветки Прямое соединение
Генератор Щиток приборов в сборе Сигнал контрольной лампы CHARGE Прямое соединение
Датчик давления масла Щиток приборов в сборе Сигнал давления масла Прямое соединение
Датчик положения рулевого колеса*13 Щиток приборов в сборе Сигнал угла поворота рулевого колеса CAN
ЭБУ рулевого управления*14 Щиток приборов в сборе Сигнал угла поворота рулевого колеса CAN
Многофункциональный дисплей*15 Щиток приборов в сборе Сигнал навигации CAN
ЭБУ системы предупреждения о ненадлежащем давлении в шинах*19 Щиток приборов в сборе Сигнал контрольной лампы предупреждения о ненадлежащем давлении в шинах CAN