ЩИТОК ПРИБОРОВ В СБОРЕ
| Номера контактов (обозначения) | Цвет проводки | Назначение контактов | Условие | Заданные условия |
|---|---|---|---|---|
| H20-1 (L) - H20-21 (E1) | R - W-B | Источник питания | Всегда | 11-14 В |
| H20-2 (IG+) - H20-21 (E1) | B - W-B | Источник питания (IG) | Замок зажигания: OFF (ВЫКЛ) → ON (ВКЛ) | Менее 1 В → 11-14 В |
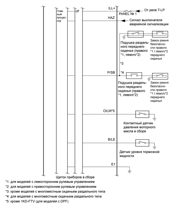
| H20-3 (ILL+) - H20-21 (E1) | G - W-B | Сигнал подсветки | Переключатель освещения TAIL выключен → включен | Менее 1 В → 11-14 В |
| H20-4 (DCTY) - H20-21 (E1) | G - W-B | Сигнал состояния двери водителя | - Дверь со стороны водителя: открыта → закрыта | Менее 1 В → 8,5 - 13,5 В |
| H20-5 (DOOR) - H20-21 (E1) | G - W-B | Сигнал состояния дверей (кроме двери водителя) | Кроме ситуации, когда дверь со стороны водителя открыта → закрыта | Менее 1 В → 11-14 В |
| H20-6 (+S) - H20-21 (E1) | P - W-B | Сигнал скорости (выходной) | Замок зажигания в положении ON (ВКЛ), автомобиль движется со скоростью приблизительно 20 км/час (12 миль в час) | Формирование импульсов (см. сигнал 1) |
| H20-7 (SI) - H20-21 (E1) | P - W-B | Сигнал скорости (входной) | Замок зажигания в положении ON (ВКЛ), автомобиль движется со скоростью приблизительно 20 км/час (12 миль в час) | Формирование импульсов (см. сигнал 1) |
| H20-8 (OIL) - H20-21 (E1) | Y - W-B | Сигнал уровня масла | Зажигание включено, контрольная лампа OIL включена → выключена | 8 - 13 В → менее 1 В |
| H20-9 (KEYE) - H20-21 (E1)*1 | Y - W-B | Сигнал выключателя разблокировки ключа | Ключ отсутствует в цилиндре замка зажигания → Ключ находится в цилиндре замка зажигания | 8,5 - 13,5 В → менее 1 В |
| H20-10 (L) - H20-21 (E1) | LG - W-B | Сигнал ремня безопасности со стороны водителя | Зажигание включено, ремень безопасности водителя отстегнут → пристегнут | Менее 1 В → 7,5 - 12,5 В |
| H20-11 (PKBI) - H20-21 (E1) | B - W-B | Сигнал выключателя стояночного тормоза | Рычаг стояночного тормоза: поднят → отпущен | Менее 1 В → 9 - 13 В |
| H20-13 (HA) - H20-21 (E1)*2 | G - W-B | Сигнал давления моторного масла | Зажигание включено, контрольная лампа SEDIMENT/FILTER включена → выключена | 8 - 13 В → менее 1 В |
| H20-14 (OILW) - H20-21 (E1)*2 | W - W-B | Сигнал давления моторного масла | Зажигание включено, контрольная лампа SEDIMENT/FILTER мигает → выключена | Менее 1 В ←→ 11 - 14 В → менее 1 В |
| H20-15 (CHG-) - H20-21 (E1) | B - W-B | Сигнал неисправности системы зарядки | Зажигание включено, контрольная лампа заряда (CHARGE) включена → выключена | Менее 1 В → 9 - 13 В |
| H20-17 (+) - H20-21 (E1) | B - W-B | Сигнал контрольной лампы BEAM | Контрольная лампа BEAM выключена → включена | Менее 1 В → 11-14 В |
| H20-18 (FOG) - H20-21 (E1)*3 | Y - W-B | Сигнал контрольной лампы Fr. FOG | Зажигание включено, контрольная лампа Fr FOG выключена → включена | Менее 1 В → 11-14 В |
| H20-19 (RFOG) - H20-21 (E1)*4 | R - W-B | Сигнал контрольной лампы Rr FOG | Зажигание включено, контрольная лампа Rr FOG выключена → включена | Менее 1 В → 11-14 В |
| H20-21 (E1) - масса | W-B - масса | Масса | Всегда | Менее 1 Ом |
| H20-22 (CANL) | Вт | Линия передачи данных CAN | - | - |
| H20-23 (CANH) | G | Линия передачи данных CAN | - | - |
| H20-24 (R) - H20-21 (E1) | L - W-B | Сигнал заднего хода | Зажигание включено, рычаг переключения передач в любом положении, кроме R → в положении R | Менее 1 В → 11-14 В |
| H20-25 (SW) - H20-21 (E1) | GR - W-B | Сигнал переключателя ближнего/дальнего света фар (положение правого или левого поворота) | Зажигание включено, переключатель ближнего/дальнего света фар выключен → переключатель ближнего/дальнего света фар в положении правого или левого поворота | 11-14 В → менее 1 В |
| H20-26 (ER) - H20-21 (E1) | Y - W-B | Сигнал переключателя ближнего/дальнего света фар (положение правого поворота) | Зажигание включено, переключатель ближнего/дальнего света фар выключен → переключатель ближнего/дальнего света фар в положении правого поворота | 11-14 В → менее 1 В |
| H20-27 (EL) - H20-21 (E1) | B - W-B | Сигнал переключателя ближнего/дальнего света фар (положение левого поворота) | Зажигание включено, переключатель ближнего/дальнего света фар выключен → переключатель ближнего/дальнего света фар в положении левого поворота | 11-14 В → менее 1 В |
| H20-28 (HAZ) - H20-21 (E1) | W - W-B | Сигнал выключателя аварийной сигнализации | Выключатель аварийной сигнализации выключен → | 11-14 В → менее 1 В |
| H20-29 (LP) - H20-21 (E1) | R - W-B | Сигнал контрольной лампы безопасности | Зажигание включено, контрольная лампа безопасности мигает → выключена | Менее 1 В ←→ 11 - 14 В → менее 1 В |
| H20-30 (P/SB) - H20-21 (E1) | W - W-B | Сигнал контрольной лампы предупреждения о непристегнутом ремне безопасности переднего пассажира | Зажигание включено, ремень безопасности переднего пассажира не пристегнут, место переднего пассажира занято → ремень безопасности переднего пассажира пристегнут, место переднего пассажира занято | 11-14 В → менее 1 В |
| H20-31 (B/LE) - H20-21 (E1) | B - W-B | Сигнал датчика уровня тормозной жидкости | Зажигание включено, датчик уровня тормозной жидкости включен → выключен | Менее 1 В → 11-14 В |
| H20-32 (BRL) - H20-21 (E1) | SB - W-B | Сигнал датчика разрежения тормозной системы | Зажигание включено, двигатель работает на холостом ходу | Формирование импульсов (см. сигнал 2) |
| H20-33 (FUEL) - H20-21 (E1) | Y - W-B | Сигнал указателя уровня топлива | Зажигание включено, указатель уровня топлива на отметке F → на отметке E | Менее 3,6 В → 3,6 - 9 В |
| H20-34 (E2) - H20-21 (E1) | R - W-B | Цепь массы указателя уровня топлива | Всегда | Менее 1 Ом |
| H20-35 (E3) - H20-21 (E1)*5 | G - W-B | Цепь массы сигнала частоты вращения | Всегда | Менее 1 Ом |
| H20-36 (TX1+) - H20-21 (E1) | W - W-B | Масса датчика температуры окружающего воздуха | Всегда | Менее 1 Ом |
| H20-37 (TX-) - H20-21 (E1) | B - W-B | Сигнал датчика температуры окружающего воздуха | Температура окружающего воздуха 25°C (77°F) | 1,6 - 1,8 кОм |
| H20-38 (DRLE) - H20-21 (E1)*6 | Y - W-B | Выходной сигнал управления системой подфарников, включаемых при движении в светлое время суток | Подфарники, включаемые при движении в светлое время суток, не работают → работают | 11-14 В → менее 1 В |
| H20-39 (S) - H20-21 (E1) | R - W-B | Сигнал скорости (входной) | Зажигание включено, 3 секунды истекло | менее 1 В → 5,5 - 11 В → менее 1 В |
| H20-40 (SW) - H20-21 (E1)*7 | R - W-B | Сигнал системы SRS | Зажигание включено, 6 секунды истекло | Менее 1 В → менее 1 В → 7,5 - 12 В |
| H20-40 (SW) - H20-21 (E1)*8 | R - W-B | Источник питания (IG) | Замок зажигания: OFF (ВЫКЛ) → ON (ВКЛ) | Менее 1 В → 11-14 В |
| H71-1 (B) - H20-21 (E1) | L - W-B | Источник питания | Всегда | 11-14 В |
| H71-12 (RL) - H20-21 (E1)*9 | W - W-B | Сигнал выключателя системы управления уровнем фар | Переключатель света фар в положении TAIL или HEAD | Менее 1 В |
| H71-7 (LR) - H20-21 (E1) | R - W-B | Выходной сигнал указателя правого поворота | Зажигание включено, правый указатель поворота мигает → выключен | Формирование импульсов → Менее 1 В |
| H71-13 (LL) - H20-21 (E1) | L - W-B | Выходной сигнал указателя левого поворота | Зажигание включено, левый указатель поворота мигает → выключен | Формирование импульсов → Менее 1 В |
*1: для моделей без интеллектуальной системы посадки и запуска
*2: кроме 1KD-FTV (для моделей с DPF)
*3: для моделей с передними противотуманными фарами
*4: для моделей с задними противотуманными фарами
*5: Для моделей без АБС
*6: для моделей с системой подфарников, включаемых при движении в светлое время суток
*7: для моделей с подушками безопасности
*8: для моделей без подушек безопасности
*9: для моделей со светодиодными фарами
Осциллограмма 1 (для справки): При использовании осциллографа:
| Параметр / Устройство | Условие |
|---|---|
| Подключение диагностического прибора | H20-6 (+S) - H20-21 (E1) H20-7 (SI) - H20-21 (E1) |
| Настройки прибора | 5 В/дел., 20 мс/дел. |
| Состояние автомобиля | Замок зажигания в положении ON (ВКЛ), автомобиль движется со скоростью приблизительно 20 км/час (12 миль в час) |
Осциллограмма 2 (для справки): При использовании осциллографа:
| Параметр / Устройство | Условие |
|---|---|
| Подключение диагностического прибора | H20-32 (BRL) - H20-21 (E1) |
| Настройки прибора | 5 В/дел., 10 мс/дел. |
| Состояние автомобиля | Зажигание включено, двигатель работает на холостом ходу |
ВНУТРЕННЯЯ ЦЕПЬ ЩИТКА ПРИБОРОВ