Click here

СИСТЕМА КУРСОВОЙ УСТОЙЧИВОСТИ СХЕМА СИСТЕМЫ

Click here
A017D6BE02
Click here
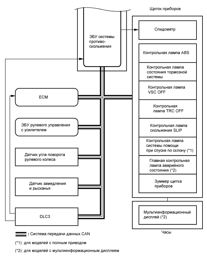
Передающий ЭБУ (передатчик) Принимающий ЭБУ Сигналы Метод передачи данных ЭБУ системы противоскольжения Датчик угла поворота рулевого колеса Сигнал запроса для датчика угла поворота рулевого колеса Система передачи данных CAN ЭБУ системы противоскольжения Датчик замедления и рысканья Сигнал запроса об ускорении и рыскании Система передачи данных CAN ЭБУ системы противоскольжения ECM Сигнал частоты вращения колеса Сигнал данных VSC Система передачи данных CAN ECM ЭБУ системы противоскольжения Сигнал положения рычага переключения передач Сигнал положения дроссельной заслонки Сигнал частоты вращения коленчатого вала двигателя Сигнал температуры воздуха на впуске Сигнал запроса о крутящем моменте двигателя Сигнал положения педали акселератора Система передачи данных CAN ЭБУ системы противоскольжения ЭБУ рулевого управления с усилителем Сигнал требуемого дополнительного крутящего момента Система передачи данных CAN ЭБУ рулевого управления с усилителем ЭБУ системы противоскольжения Сигнал разрешения координации управления рулевого управления с электроусилителем Система передачи данных CAN ЭБУ системы противоскольжения Щиток приборов Сигнал контрольной лампы ABS Сигнал контрольной лампы состояния тормозной системы Сигнал контрольной лампы VSC OFF Сигнал контрольной лампы TRC OFF Сигнал контрольной лампы SLIP Сигнал контрольной лампы системы помощи при спуске по склону (*1) Сигнал главной контрольной лампы аварийного состояния (*2) Сигнал зуммера щитка приборов Сигнал частоты вращения колеса Система передачи данных CAN

(*1): для моделей с полным приводом

(*2): для моделей с мультиинформационным дисплеем