СИСТЕМА КУРСОВОЙ УСТОЙЧИВОСТИ СХЕМА СИСТЕМЫ

A017FPCE01
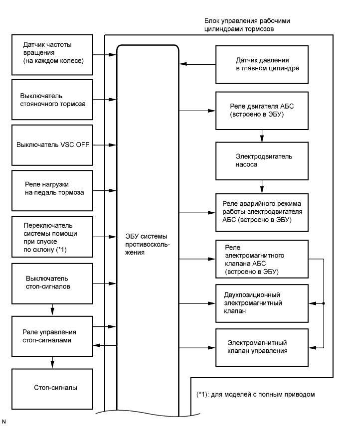
A017C64E01
Передающий ЭБУ (передатчик) Принимающий ЭБУ Сигналы Метод передачи данных
ЭБУ системы противоскольжения Датчик угла поворота рулевого колеса Сигнал запроса для датчика угла поворота рулевого колеса Система передачи данных CAN
ЭБУ системы противоскольжения Датчик замедления и рысканья Сигнал запроса об ускорении и рыскании Система передачи данных CAN
ЭБУ системы противоскольжения ECM
  • Сигнал частоты вращения колеса

  • Сигнал данных VSC

Система передачи данных CAN
ECM ЭБУ системы противоскольжения
  • Сигнал положения рычага переключения передач

  • Сигнал положения дроссельной заслонки

  • Сигнал частоты вращения коленчатого вала двигателя

  • Сигнал температуры воздуха на впуске

  • Сигнал запроса о крутящем моменте двигателя

  • Сигнал положения педали акселератора

Система передачи данных CAN
ЭБУ системы противоскольжения ЭБУ рулевого управления с усилителем Сигнал требуемого дополнительного крутящего момента Система передачи данных CAN
ЭБУ рулевого управления с усилителем ЭБУ системы противоскольжения Сигнал разрешения координации управления рулевого управления с электроусилителем Система передачи данных CAN
ЭБУ системы противоскольжения Щиток приборов
  • Сигнал контрольной лампы ABS

  • Сигнал контрольной лампы состояния тормозной системы

  • Сигнал контрольной лампы VSC OFF

  • Сигнал контрольной лампы SLIP

  • Сигнал контрольной лампы системы помощи при спуске по склону (*1)

  • Сигнал главной контрольной лампы аварийного состояния (*2)

  • Сигнал частоты вращения колеса

Система передачи данных CAN
Щиток приборов Мультиинформационный дисплей (*2) Сигнал мультиинформационного дисплея (*2) Система передачи данных LIN

(*1): для моделей с полным приводом

(*2): для моделей с мультиинформационным дисплеем