BRAKE CONTROL SYSTEM

Figure 1. Models without VSC

B0020B8E01

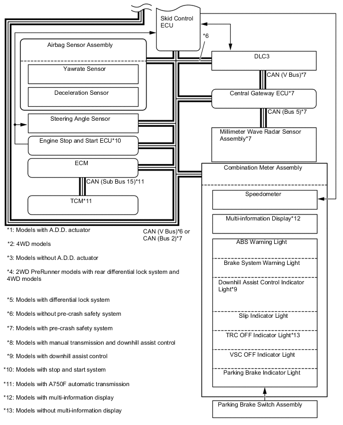
Figure 2. Models with VSC

B0020MJE02
B0020CPE01