HYBRID CONTROL SYSTEM


  1. CONSTRUCTION


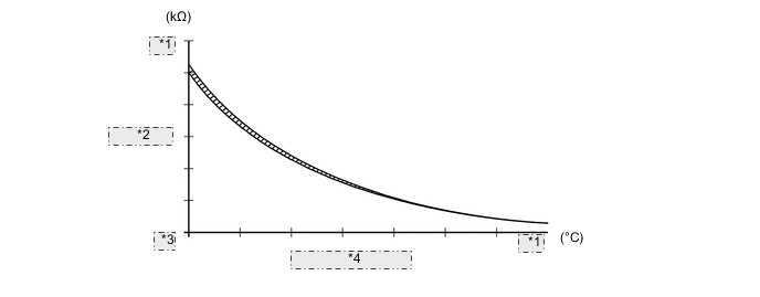
    1. The auxiliary battery temperature sensor (thermistor assembly) detects the auxiliary battery temperature, and transmits temperature signals to the hybrid vehicle control ECU assembly.

    2. Based on the signal from the sensor, in order to maintain the optimal charging state appropriate to the auxiliary battery temperature, the hybrid vehicle control ECU assembly regulates the output voltage from the DC-DC converter.

      A01O7IEE06
      *1 High
      *2 Resistance
      *3 Low
      *4 Battery Temperature